Dear Aspirants,
Quantitative Aptitude Quiz For IBPS PO/Clerk Prelims
Numerical Ability or Quantitative Aptitude Section has given heebie-jeebies to the aspirants when they appear for a banking examination. As the level of every other section is only getting complex and convoluted, there is no doubt that this section, too, makes your blood run cold. The questions asked in this section are calculative and very time-consuming. But once dealt with proper strategy, speed, and accuracy, this section can get you the maximum marks in the examination. Following is the Quantitative Aptitude quiz to help you practice with the best of latest pattern questions.
Directions (1-5): Find the approximate value of the following questions.
Q1. 324.995 × 15.98 ÷ 4.002 + 36.88 = ?
1340
1230
1540
1380
1390
Q2. 1164 × 128 ÷ 8.008 + 969.007 = ?
18800
19393
19593
19200
20293
58
56
61
52
62
Q4. 69.008% of 699.98 + 32.99% of 399.999 = ?
615
645
675
715
815
Q5. (9321 + 5406 + 1001) ÷ (498 + 929 + 660) = ?
13.5
4.5
2.5
7.5
21.5
Directions (6-10): What will come in place of question mark (?) in the following number series?
Q6. 148, 152, 161, 177, ? , 238
208
214
202
198
192
Q7. 339, 355, 323, 371, 307, ?
407
354
328
387
388
Q8. 5, 14, 40, 117, 347, ?
920
745
1124
1036
694
Q9. 12, 24, 96, 576, ? , 46080
3542
3890
4248
4608
3246
Q10. 156, 468, 780, ? , 1404, 1716
1096
1092
1290
9610
1910
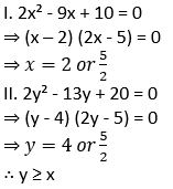
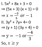
Directions (11-15): In the following questions two equations numbered I and II are given. You have to solve both the equations and give answer
Q11.
If x < y
If x ≤ y
If y < x
If y ≤ x
If x =y or if no relationship can be established.
If x < y
If x ≤ y
If y < x
If y ≤ x
If x =y or if no relationship can be established.
If x < y
If x ≤ y
If y < x
If y ≤ x
If x =y or if no relationship can be established.
If x < y
If x ≤ y
If y < x
If y ≤ x
If x =y or if no relationship can be established.
If x < y
If x ≤ y
If y < x
If y ≤ x
If x =y or if no relationship can be established.
Test where you stand in the Competition with Online Test Series to get 25% Off Today |
|
|---|---|
|
Get Classroom at Your Fingertips with Video Courses
|
Enroll in LIVE BATCHES
|
|
Get Latest Printed Edition BOOKS
|
Study Anytime with eBOOKS
|
































Prepare Data Interpretation For Bank Exa...
IBPS Calendar 2026-27 Out @ibps.in for P...
PNB SO Admit Card 2026 Out @pnb.bank.in,...


