IBPS RRB PO/Clerk Quantitative Quiz
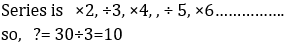
Directions (1-5): What will come in place of question mark (?) in the following number series ?
Q1. 12, 12, 18, 36, 90, 270, ?
Q2. 15, 30, ?, 40, 8, 48
Q3. 879, 536, ?, 195, 131, 104
Q4. 588, 563, 540, 519, ?, 483, 468
Q5. 33, 39, 57, 87, 129, ?
Directions (6-10): Refer the graph and answer the given questions.
The following line graph shows the number of votes polled in two constituencies A and B of a city during six years.

Q6. What is the difference between number of votes polled in constituency A and B together in 2013 and number of votes polled in both constituencies together in 2011.
Number of votes polled in both constituencies in 2011 = 160 + 480 = 640
Required difference = 680 – 640 = 40
Q7. Find ratio of votes polled in constituency A in 2013 and 2014 together and votes polled in constituency B in 2015 and 2016 together.
Q8. Number of votes polled in constituency A and B together in 2015 is what percent less or more than the number of votes polled in constituency B in 2015 and 2016 together.
Number of votes polled in constituency B in 2015 and 2016 = 380 + 520 = 900
Q9. If in 2012, 10% of total votes polled in constituency A are invalid and 5% of votes of constituency B in 2013 are invalid then find the average of valid votes of both constituencies.
Q10. Find average number of votes polled in constituency A in all the given years.
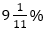
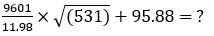
Directions (11-15):What approximate value will come in place of (?) in the following questions ?
Q11.
Q13. 16.02² + 144+ 23.96 + ? = 783.867
You may also like to Read:
- Check the Study-related Articles Here
- Study Notes for All Banking Exams 2018
- Bankers Adda Daily Questions for SBI PO, IBPS PO Clerk & Bank Exam

























RBI Grade B Syllabus and Exam Pattern 20...
OICL AO Mains Result 2026 Out at orienta...
CAIIB Exam Date 2026 Out for June and De...


