
IBPS RRB Quantitative Aptitude Quiz
Increasing competition has raised the difficulty level of the quant section. With every day passed, the need to be smarter with this section has increased. Having a proper study plan for IBPS RRB PO/Clerk can be your savior. All you need to have well-organized study notes for IBPSRRB to get through this exam. Do not leave any important topic IBPS RRB strategy for the quant section can help you do wonders. If you deal with the section with the accurate speed, accuracy and time this section can get you maximum marks. Here is the IBPS RRB quantitative aptitude quiz of 6th August inclusive of the important topic i.e. Missing DI, Quantity Comparison, Data Sufficiency, and Quadratic Equations.
Directions (1-3): Compare the value of 2 quantities given in the question and give answer
Q1. Quantity I — cost price of an article having marked price Rs. 400, which when sold at 20% discount still make a gain of 

Quantity II — cost price of an article which is sold at 14% profit and if cost price and selling price both are Rs. 117 less, the profit would be 9% more.
if quantity I > quantity II
if quantity I < quantity II
if quantity I ≥ quantity II
if quantity I ≤ quantity II
if quantity I = quantity II or no relation can be established
Q2. Quantity I — the sum of money for which the difference between SI and CI obtained on it in 2 years at 6% per annum compounded annually is Rs. 43.2.
Quantity II — Rs. 12850
if quantity I > quantity II
if quantity I < quantity II
if quantity I ≥ quantity II
if quantity I ≤ quantity II
if quantity I = quantity II or no relation can be established
Q3. Quantity I — average income of the whole group of 75 people, if average income of the men in the group is Rs. 4200 and that of women is Rs. 4000. (total men: total women = 8 : 7)
Quantity II — The average income of 20 people, which decreases by Rs. 150 if a person with income of Rs. 1000 joins them.
if quantity I > quantity II
if quantity I < quantity II
if quantity I ≥ quantity II
if quantity I ≤ quantity II
if quantity I = quantity II or no relation can be established
Directions (4-5): In each of these questions, a question is followed by information given in three statements. You have to study the question along with information given in the statements and decide the information in which of the statement(s) is/are necessary and sufficient to answer the question.
Q4. What is the percent profit earned by the shopkeeper on selling the articles in his shop?
(I) Labelled price of
the articles sold was 130% of the cost price.
the articles sold was 130% of the cost price.
(II) Cost price of each
article was Rs. 550.
article was Rs. 550.
(III) A discount of 10%
on labelled price was offered.
on labelled price was offered.
Only I and III
Only II
Only III
Only II and III
Questions cannot be answered even by taking all the three statements together.
Q5. What is the average salary of 15 employees?
(I) Average salary of 7
Clerical cadre (out of the 15 employees) employees is Rs. 8,500.
Clerical cadre (out of the 15 employees) employees is Rs. 8,500.
(II) Average salary of
5 officer cadre (out of the 15 employees) employees is Rs. 10,000.
5 officer cadre (out of the 15 employees) employees is Rs. 10,000.
(III) Average salary of
remaining 3 employees (out of the 15 employees) is Rs. 2,500.
remaining 3 employees (out of the 15 employees) is Rs. 2,500.
None
Only I
Only II
Only III
All the three statements are necessary to answer the question
Solution:
We
can find average salary of 15 employees by finding total salary of all the
employees.
can find average salary of 15 employees by finding total salary of all the
employees.
From
statement (I) we know salary of 7 clerks.
statement (I) we know salary of 7 clerks.
From
(II), salary of 5 officers can be found out
(II), salary of 5 officers can be found out
From
(III) salary of remaining 3 staffs, can be found out.
(III) salary of remaining 3 staffs, can be found out.
So,
all the statements are required to get average salary of all the employees.
all the statements are required to get average salary of all the employees.
Directions (6-10): In the following table C.P., S.P. and Profit% of Laptop is given. Read the following questions and answer the given questions
Q6. What is the total Selling Price of HP and Lenovo Laptop if seller earn 12.5% profit on Lenovo Laptop ?
56,155
55,125
58,125
56,125
None of these
Solution:
H.P. selling price = 20,000 × 1.4 = Rs. 28,000
Lenovo Selling price = 25,000 × 1.125 = Rs. 28,125
Total S.P. = 28,000 + 28,125 = Rs. 56,125
Q7. How much profit did the seller earn on HP, Dell and Samsung laptop if the C.P. of Samsung and Asus is same ?
23,000
23,500
21,500
23,250
24,000
Q8. How much profit% earn on Samsung laptop if total C.P. of HP, Samsung and Lenovo is 77,000 ?
10%
15%
20%
25%
30%
Q9. What is the ratio of Profit on HP and Dell laptop ?
3 : 4
4 : 5
4 : 3
5 : 12
None of these
Q10. How much would be the S.P. of Lenovo laptop if seller wants to earn 20% profit on this ?
28,000
29,000
30,000
32,000
None of these
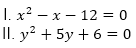
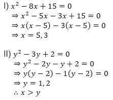
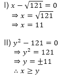
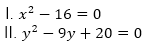
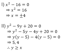
Directions (11-15): In the following questions two equations numbered I and II are given. You have to solve both the equations.
if x > y
if x ≥ y
if x < y
if x ≤ y
if x = y or the relationship cannot be established.
if x > y
if x ≥ y
if x < y
if x ≤ y
if x = y or the relationship cannot be established.
if x > y
if x ≥ y
if x < y
if x ≤ y
if x = y or the relationship cannot be established.
if x > y
if x ≥ y
if x < y
if x ≤ y
if x = y or the relationship cannot be established.
if x > y
if x ≥ y
if x < y
if x ≤ y
if x = y or the relationship cannot be established.
Get Free Study Material For IBPS RRB PO Main 2019
You May also like to Read:





























Quadratic Equation Questions For Bank Ex...
CNP Nashik Application Form 2026 Out, La...
How Early Toppers Start Preparing for IB...


