IBPS RRB Quantitative Aptitude Quiz
Q1. A manufacturer sold an article to a retailer at Rs. 28,000 and gets a profit of
The retailer marked its price 25% higher than its original cost price and sold it at a discount of 10%. What is the profit/loss of retailer (in percentage) ?
Q2. Mr. Goyal spent Rs. 64,000 to publish 1600 copies of a book. He marked each book 40% above its cost price and sold each book at a discount of 25%. What is his total profit (in rupees)?
Q3. The marked price of a shirt is equal to the cost price of a paint and marked price of the paint is equal to selling price of a jacket. If jacket is sold at
profit, then what is the ratio of marked price of paint to the marked price of shirt?
Given: m.p. of shirt : cost price of jacket = 2 : 3.
Q4. Rishabh bought 54 bananas at a rate of Rs. 24 per dozen and 5 kg oranges at a rate of Rs. 48 per kg (1 kg contains 8 oranges). After sometimes he checked the fruits and found that
banana and 12 oranges were rotten. Find his total loss.
Q5. D.K. bought two cellphones in Rs. 22000. He sold one cellphone at a loss of 20% and other at a profit of 20%. In the whole transaction, he gets neither profit nor less. Find the cost price of each cellphone.
Q6. A person sells a table at a profit of 10%. If he had bought the table at 5% less cost and sold for Rs. 80 more, he would have gained 20%. The cost price of the table is
Q7. A trader marks the price of a digital watch 66⅔% above of its cost price and allows a discount of 16⅔% on marked price. If marked price of watch is Rs. 3600 then find profit (in rupees) obtained by trader.
Q8. A shopkeeper gives 10% discount on marked price of an article and earns a profit of 25% on it. If cost price of the article is Rs. 2160, then find the marked price of the article?
Q9. The profit obtained by selling a thing in Rs. 840 is twice the loss occurred after selling the same thing in Just Rs. 600. Find cost price of thing?
Q10. If the selling price of a mat is five times the discount offered and if the percentage of discount is equal to the percentage profit, find the ratio of the discount offered to the cost price.
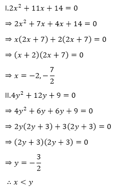
Directions (11-15): Two equations I and II are given below. You have to solve these equations and give answer
Q11. 
- Quantitative Aptitude Study Notes for Bank Exams
- 100 MCQs Data Interpretation | Download Free PDF's of DI
- Quantitative Aptitude Questions for all Competitive Exams



































CNP Nashik Recruitment 2026 Out, Apply O...
Union Bank of India Apprentice Recruitme...
Bank of Baroda Apprentice Recruitment 20...


