Directions (1-5): Study the following information carefully and answer the given questions:
Seven persons are sitting in a row, in such a way some are facing north while some are facing south. Each of them has different number of balloons- 9, 15, 25, 31, 36, 53 and 64 (but not necessary in the same order). P sits third to the right of M who has number of balloons which is a prime number. Only one person sits between P and the one who have five balloons more than M. R sits third to the left of S who is not an immediate neighbour of M. P does not sit at any ends and have more balloons than M and N. No one sits left of the one who has 31 balloons. The one who has 11 balloons less than P sits second to the right of S. R have less balloon than S and M. Q have number of balloons which is a prime number and sits fourth to the left of O. The one who have third lowest number of balloons facing north. R and S are facing opposite directions. O has 6 balloons less than R. P and Q are facing opposite direction of N. N face opposite direction of S.
Q1. Who among the following have lowest number of balloons?
(a) P
(b) R
(c) S
(d) O
(e) None of these
Q2. How many persons sit between M and the one who have third highest number of balloons?
(a) Two
(b) One
(c) Three
(d) More than three
(e) None
Q3. Who among the following sits second to the right of N?
(a) R
(b) Q
(c) P
(d) S
(e) None of these
Q4. What is the difference between number of balloons between M and S?
(a) 15
(b) 6
(c) 10
(d) 11
(e) None of these
Q5. Who among the following person sits second to the right of the one who have minimum number of balloons?
(a) Q
(b) M
(c) N
(d) P
(e) None of these
Directions (6-8): Each of these questions is based on the following information:
(i) P % Q means P is the father of Q.
(ii) P @ Q means P is the sister of Q.
(iii) P $ Q means P is the brother of Q.
(iv) P * Q means P is the son of Q.
(v) P # Q means P is the wife of Q.
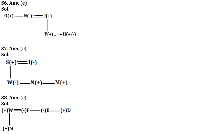
Q6. In the expression O $ N # J % Y $ H how is H related to O?
(a) Nephew
(b) Uncle
(c) Father
(d) Niece
(e) Can’t be determined
Q7. In the expression S % W @ N $ M * I, how is I related to N?
(a) Father
(b) Son
(c) Mother
(d) Sister
(e) Can’t be determined
Q8. Which of the following symbol is used if ‘E is sister-in-law of W’ is true in the relation
W % M * F ___ E # D?
(a) #
(b) $
(c) @
(d) %
(e) *
Direction (9-10): In the following questions, the symbols #, &, @, *, $, % and © are used with the following meanings as illustrated below. Study the following information and answer the given questions:
P@Q- P is the child of Q
P©Q- P is the parent of Q
P%Q- P is father-in-law of Q
P&Q- P is brother-in-law of Q
P$Q- P is brother of Q
P*Q- P is wife of Q
Q9. If ‘K©M$O@S, K%R*O’ is true, how R is related to S?
(a) Daughter
(b) Brother
(c) Daughter-in-law
(d) Sister
(e) None of these
Q10. If ‘E%G©K@D&F$U’ is true, how K is related to U?
(a) Niece
(b) Brother
(c) Nephew
(d) Son
(e) Either (a) or (c)
Directions (11-12): In each of the following questions, a statement/group of statements is given followed by some conclusions. Without resolving anything yourself, choose the conclusion which logically follows from the given statements.
Q11. Statement: Television convinces viewers that the likelihood of their becoming the victim of a violent crime is extremely high; at the same time by its very nature TV persuades viewers to passively accept whatever happens to them.
Conclusions:
(a) TV viewing promotes criminal behavior.
(b) TV viewers are most likely to be victimized than others.
(c) People should not watch TV.
(d) TV promotes a feeling of helpless vulnerability in viewers.
(e) None of these.
Q12. Statement: A factory worker has five children. No one else in the factory has five children.
Conclusions:
(a) All workers in the factory have five children each.
(b) Everybody in the factory has children.
(c) Some of the factory workers have more than five children.
(d) Only one worker in the factory has exactly five children.
(e) None of these.
Directions (13-15): In making decisions about important questions, it is desirable to be able to distinguish between ‘strong’ Arguments and ‘weak’ arguments. ‘strong’ arguments are those which are both important and directly related to the question. ‘weak’ arguments are those which are of minor important and also may not be directly related to the question or may be related to a trivial aspect of the question.
Each question below is followed by two arguments numbered I and II. You have to decide which of the argument is a ‘strong’ argument and which is a ‘weak’ argument.
Q13. Should all beggars on the roads in the big cities in India be forcibly sent to villages?
Arguments:
I. No, this is grossly unfair and these people will die of hunger if they are sent to villages.
II. Yes, these people create a bad impression of our country in the eyes of the foreigners who visit our country and hence should be removed.
(a) if only argument I is strong
(b) if only argument II is strong
(c) if either I or II is strong
(d) if neither I nor II is strong
(e) If both I and II are strong
Q14. Should all the criminals convicted for committing murder be awarded capital punishment?
Arguments:
I. Yes, this will be a significant step towards reducing cases of murder in future.
II. No, nobody has the right to take any person’s life irrespective of the acts of such individuals.
(a) if only argument I is strong
(b) if only argument II is strong
(c) if either I or II is strong
(d) if neither I nor II is strong
(e) If both I and II are strong
Q15. Should all the professional colleges in India be encouraged to run their own courses without affiliation to any university?
Arguments:
I. Yes, this is only way to create more opportunities for those who seek professional training.
II. No, this will dilute the quality of professional training as all such colleges may not be equipped to conduct such courses.
(a) if only argument I is strong
(b) if only argument II is strong
(c) if either I or II is strong
(d) if neither I nor II is strong
(e) If both I and II are strong
Solutions



S11. Ans. (d)
Sol. According to given statement, Television makes a feeling of helpless among viewers and it also persuades them to accept whatever happens to them.
S12. Ans. (d)
Sol. From given statement, it is clear that only one worker has only five children. Other worker may have more than or less than five children.
S13. Ans. (d)
Sol. None of the argument is strong. From statement I, we cannot say that these people will die of hunger in villages. They might get some small work for their living. From statement II, we cannot ignore our country man who are deprive of some reasons just for foreigners.
S14. Ans. (b)
Sol. From statement I, we cannot be sure that even after getting capital punishment, crime will reduce. Statement II follows.
S15. Ans. (b)
Sol. Statement I is wrong because this is not the only way for improving professional training. There are other ways also.










SBI Apprentice Previous Year Question Pa...
Grand Cross Honour for PM Modi | New Bul...
TNSC Bank Cooperative Intern Recruitment...


