Directions (1-4): In the given pie chart, in state Bank of India there are two types of accounts Saving account and Current account which can be opened by an Indian.
These pie charts show the percentage wise breakup of these accounts spend in a given year. There are 4 quarters in a year and graph shown the inform
ation about three quarters.
Q1. If we include the 4th quarter in the given year, percentage of Current accounts opened in 2nd quarter will becomeof the total Current accounts opened during the whole year. Then what is the number of Current accounts opened in 4th quarter?
Q2. Total number of Saving accounts opened in the 4th quarter are more than the Saving accounts opened in 3rd quarter, then find the average number of Saving accounts opened during whole year.
Q3. If the total number of Saving accounts opened in the whole year are 50% more than the Current account opened in the whole year, then find the ratio of the Saving accounts opened in 4th quarter to Current accounts opened in 4th quarter?
Q4. If the Saving accounts opened in 4th quarter is 240 more than the Saving accounts opened in 2nd quarter, then Saving accounts opened in 4th quarter is what percent of the total Saving accounts opened in the whole year?
Directions (5-10): What will come at the place of question mark in the following questions? (You are not expected to find exact value)
Q5. 16.978 + 27.007 + 36.984 - 12.969 - 9.003 = ?
Q6. 499.97÷4.95+(5.99)³-207.94=?
Q8. 59.97% of 849.97 – 38.98% of 599.98 = ?
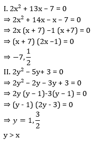
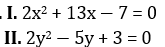
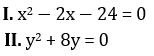
Directions (11-15): In each of these questions, two equations (I) and (II) are given. You have to solve both the equations and give answer
- Quantitative Aptitude Study Notes for Bank Exams
- 100 MCQs Data Interpretation | Download Free PDF's of DI
- Quantitative Aptitude Questions for all Competitive Exams










IBPS Calendar 2026-27 Out @ibps.in for P...
JK Bank Apprentice Exam Date 2026 Out, C...
RBI Grade B 2026 Application Edit Window...


