Quantitative Aptitude Quiz For SBI PO/Clerk Prelims
Q1. Simple interest on a certain sum at the rate of 16⅔% per annum for three years is Rs. 1250. Find the sum.
Q2. A fraction becomes 5/3 when 20% of nominator is added to its nominator and 30% of denominator is subtracted from its denominator. Find that fraction.
Q3. Raheem spends 36% of his total amount on daily spending, 40% on rent and children fee together and rest amount he kept for future needs. If his total savings be Rs. 14,400 find his total sum that he has.
Q4. The population of a city after three years will be 21,600. If rate of increase of population per year be 20% then find the present population of the city.
Q5. A seller marks up an article 160% above of its cost price. After it he allows two successive discounts of 20% and 25%. If marked price of article is Rs 520 then find his profit.
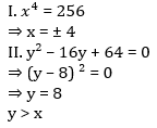
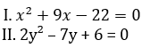
Directions (6-10): In the following questions there are two equations given. You have to solve both the equations and give answer:
Q11. In a society 16⅖% people were interested in music, 33⅓% were interested in Yoga, 25% were interested in cycling and rest were interested in other activities. If no. of people who are interested in other activities is 450 then what is the no. of people who are interested in music.
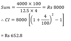
Q12. The simple interest on a certain sum for 4 yrs at a rate of 12.5% per annum is Rs 4000. What will be the compound interest on the same sum at a rate of 4% per annum after two years?
Q13. A house and a shop were sold for Rs. 1 lakh each. In this transaction, the house sale resulted into 20% loss whereas the shop sale resulted into 20% profit. The entire transaction resulted in to:
Q14. If the manufacturer gains 10% after selling an article to the whole-sale dealer, whole sale dealer sold it to retailer at 15% profit and the retailer sold it at 25% profit, then find the cost of production of that article, if the retailer got Rs. 1265 after selling the article.
Q15. In a basket there are some oranges. 33⅓% oranges were stolen by a thief, 30% of the remaining were rotten and rest oranges were good. If no. of good oranges was 140 then find total no. of oranges in the basket.






World Press Freedom Day 2026, History, T...
Daily Current Affairs and GK Updates (2n...
IBPS Clerk Salary 2026, Allowances, Job ...


