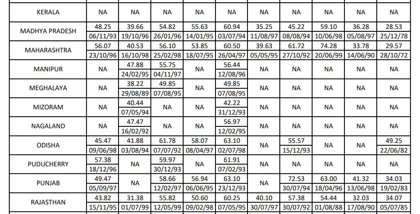
Institute of banking Personnel Selection (IBPS) Regional Rural Bank (RRB) has successfully declared the final result on 1st March 2021. Those candidates who have succeeded in their final result, many congratulations to them. The mains examination was held on 20th February 2021. Now let us know the final cut off 2020 state-wise:



Share Your Success Stories with Us & be a part of Dare to Dream, click here








Union Bank of India Apprentice Recruitme...
IIFCL AGM Recruitment 2026 Notification ...
International Day of Families 2026: Date...


