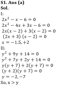
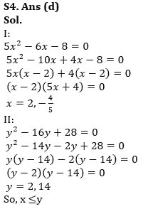
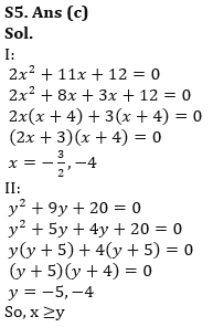
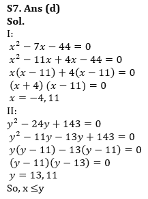
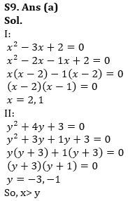
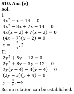
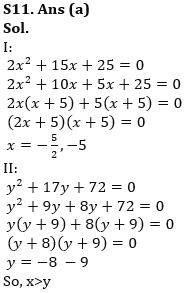
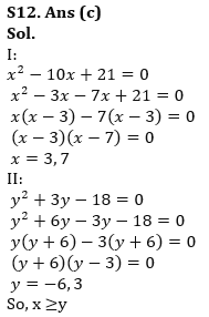
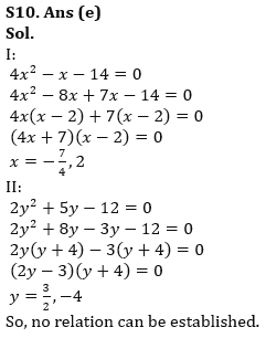
Directions (1-15): In each of the following questions, two equations (I) and (II) are given. Solve the equations and mark the correct option:
(a) if x>y
(b) if x<y
(c) if x≥y
(d) if x ≤y
(e) if x = y or no relation can be established between x and y.


Solutions














. . .



Quantitative Aptitude Quiz For Bank Main...
Quantitative Aptitude Quiz For Bank Foun...


