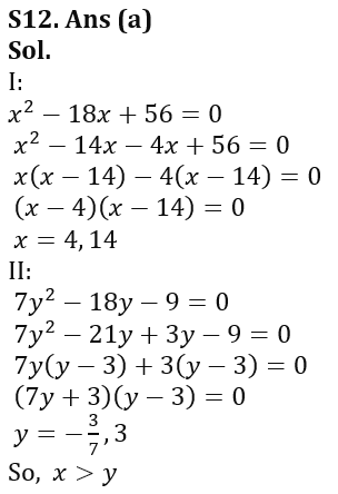
Direction (1-15): Given below in each question two quadratic equations are given. Please solve each quantity and compare both of them and answer accordingly from the following options.
(a) x>y
(b) y> x
(c) x ≥y
(d) x ≤y
(e) x =y or No relation can’t be established.



Solutions















. . .









Quantitative Aptitude Quiz For Bank Main...
Quantitative Aptitude Quiz For Bank Foun...


