Direction (1-10): What approximate value should come in place of question(?) mark in the following question?



Q6. (23.02 × 22.98) + 11.89 × 7.98 = ?²
(a) 20
(b) 25
(c) 31
(d) 22
(e) 30
Q7. 87.08 + 913.99 – 260.13% of 129.88 = 74.98% of ?
(a) 663
(b) 552
(c) 672
(d) 221
(e) 884
Q8. ?% of 1049.87 + 74.99% of 420.12 = 750.11% of 70
(a) 15
(b) 20
(c) 10
(d) 35
(e) 25

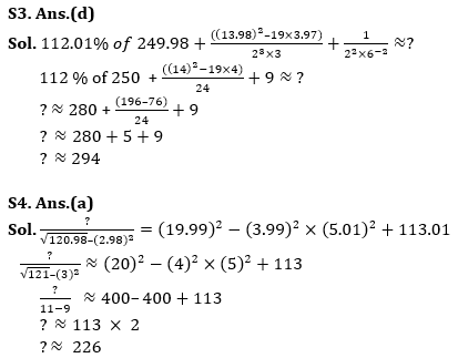
Solutions





. . . . . . . .










Quantitative Aptitude Quiz For Bank Main...
Quantitative Aptitude Quiz For Bank Foun...


