Directions (1-10): Given below in each question two quadratic equations are given. Please solve each quantity and compare both of them and answer accordingly from the following options.
(a) x>y
(b) y> x
(c) x ≥y
(d) x ≤y
(e) x =y or No relation can’t be established.


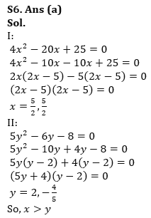
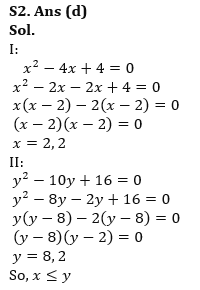
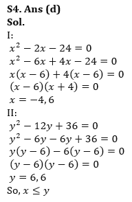
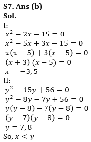
Solutions










. . . . . . .










Quantitative Aptitude Quiz For Bank Main...
Quantitative Aptitude Quiz For Bank Foun...


