Directions (1-10): What should come in place of question (?) mark in the following questions?
Q1. 30% of 450 + 75% of 680 = ?% of 1075
(a) 40
(b) 55
(c) 45
(d) 60
(e) 70

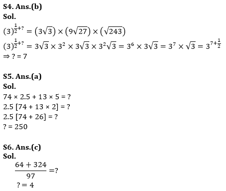
Q5. 74 × 2.5 + 13 × 5 = ?
(a) 250
(b) 240
(c) 230
(d) 260
(e) 270

Q8. (12% of 750)-(12.5% of 480)+?=140
(a)105
(b)120
(c)110
(d)100
(e)90
Q9. 40% of 260 + 80 = 50% of ?
(a) 366
(b) 372
(c) 368
(d) 364
(e) 362
Q10. 115×8+?=20% of 6000
(a) 280
(b) 180
(c) 200
(d) 300
(e) 380
Solutions




. . . . . . .




Quantitative Aptitude Quiz For Bank Main...
Quantitative Aptitude Quiz For Bank Foun...


