Directions (1-5): In each of these questions, two equation (I) and (II) are given. You have to solve both the equations and give answer
(a) If x>y
(b) If x≥y
(c) If x<y
(d) If x≤y
(e) If x = y or no relation can be established between x and y

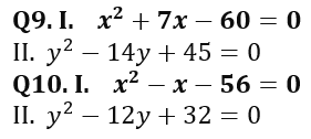
Directions (6-10): In each of these questions, two equation (I) and (II) are given. You have to solve both the equations and give answer
(a) If x>y
(b) If x≥y
(c) If x<y
(d) If x≤y
(e) If x = y or no relation can be established between x and y


Directions (11-15): In each of these questions, two equations (I) and (II) are given. Solve the equations and mark the correct option:
(a) if x>y
(b) if x≥y
(c) if x<y
(d) if x ≤y
(e) if x = y or no relation can be established between x and y.

Solutions










. .









Quantitative Aptitude Quiz For Bank Main...
Quantitative Aptitude Quiz For Bank Foun...


