Quantitative Aptitude Quiz For SBI Clerk
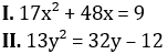
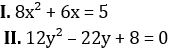
Directions (1-5): In each of the following questions two equations are given. You have to solve the equations and
Give answer –
Directions (6-10): What approximate value will come in place of question mark (?) in the given questions: (You are not expected to calculate the exact value.)
Q6. 619.992 – 134.99 ÷ 14.998 – (9.01)² =?
Q7. 449.97 ÷ 15.02 + 208.08 ÷ 8.01 – 16.01 =?
= 30 + 26 – 16 = 30 + 10 = 40
Q9. ? % of (140.06 × 7.99 – 679.92) = 330.01
Q10. 40% of 859 + 87.89 ÷ 7.99 =?
Directions (11-15): The following bar graph shows the total number of management students from 5 different universities who attended a seminar organized by IIM Ahamadabad in year 2017. Study the graph and answer the questions that follows :
Q11. What is the average number of boys who participated in the seminar?
Q12. The number of boys from AKTU who participated in seminar is what percent of number of girls from Indraprasth university who participated in seminar?
Q13. What is the difference between average number of boys from all five universities together and average number of girls from all five universities together who attended the seminar?
Q14. What is the ratio of number of girls from LPU and AKTU together to the number of girls from DU and BBD together who attended the seminar?
Q15. The number of boys who attended the seminar from DU and AKTU together is approximately what percent more or less than the number of girls from AKTU and Indraprasth together who attended the seminar?
You May also like to Read:












Daily Current Affairs Quiz 30th May 2026...
Daily Current Affairs and GK Updates (29...
HPSCB Junior Clerk Recruitment 2026, Las...


