Dear Aspirants,
Quantitative Aptitude Quiz For SBI Clerk
Numerical Ability or Quantitative Aptitude Section has given heebie-jeebies to the aspirants when they appear for a banking examination. As the level of every other section is only getting complex and convoluted, there is no doubt that this section, too, makes your blood run cold. The questions asked in this section are calculative and very time-consuming. But once dealt with proper strategy, speed, and accuracy, this section can get you the maximum marks in the examination. Following is the Quantitative Aptitude quiz to help you practice with the best of latest pattern questions.
Q1. B’s age is 6 years older than A. The ratio of B’s age 9 years hence and C’s present age is 9 : 8. At present C’s age is twice A’s age. What will be age of B after 5 years.
18 years
25 years
23 years
24 years
48 years
Q2. Sweta and Neha profess to tell their present ages as 25 and 20 years respectively. (Not original age). Ratio of their original ages 5 year ago is 5 : 4. Sum of ages of both 5 years hence is 400/9% more than the sum of present ages of both professed by them. Find the sum of their present original age
25
35
55
40
50
Q3. If 3 is added to the numerator while 1 is subtracted to the denominator ratio becomes 5 : 4 while if one is added to the denominator and 5 is subtracted from the numerator the ratio becomes 2 : 3. What is the original fraction?
11/14
12/13
17/17
17/15
None of these
Q4. The LCM of two numbers is 240 and their ratio is 6:5. The two numbers are.
36,27
48, 40
25, 30
45, 15
35, 20
Q5. The multiplication of two numbers is 9375 and the quotient, when the greater is divided by the smaller is 15. The sum of the numbers is:
400
496
225
150
450
Q6. Find the number which when divides 1225 leaves quotient 76 and remainder 9.
18
32
35
21
16
Q7. Harshit is two years older than Prakash who is twice as old as Raj. If the total of the ages of Harshit, Prakash and Raj be 32, then how old is Prakash?
18
21
12
16
7
Q8. The sum of ages of 5 children born at the intervals of 3 years each is 70 years. Find out the age of the youngest child?
11 years
15 years
4 years
8 years
9 years
Q9. Present ages of Sanket and Anuradha are in the ratio of 5 : 4 respectively. Three years hence, the ratio of their ages will become 11 : 9 respectively. What is Anuradha's present age in years?
20 years
17 years
27 years
15 years
24 years
Q10. The ages of X, Y and Z are in arithmetic progression series. If average age of all of them is 4 years less than the age of oldest one then what is the common difference between their ages ?
6
3
2
4
5
Directions (11-15): Find out the missing no. in the given series.
Q11. 2, 7, 24, 61, ?, 227
116
126
129
136
125
Q12. 76, 151, 454, 1815, ?
9070
9072
9054
9074
9076
Q13. 2, 4, 12, 48, 240, ?
960
1440
1080
1920
1620
Solution:
Go on multiplying the given numbers by 2, 3, 4, 5, 6. So, the correct next number is 1440.
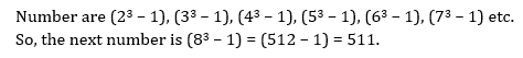
Q14. 7, 26, 63, 124, 215, 342, ?
481
511
391
421
381
Q15. 8, 24, 12, 36, 18, 54, ?
27
108
68
72
96
You May also like to Read:












NFL Recruitment 2026 Notification Out Fo...
SBI Clerk vs SBI PO: Which Should Freshe...
Which Cadre of RBI Grade B Has Higher Se...


