Dear Aspirants,
You May also like to Read:
Quantitative Aptitude Quiz For SBI PO/Clerk Prelims
Numerical Ability or Quantitative Aptitude Section has given heebie-jeebies to the aspirants when they appear for a banking examination. As the level of every other section is only getting complex and convoluted, there is no doubt that this section, too, makes your blood run cold. The questions asked in this section are calculative and very time-consuming. But once dealt with proper strategy, speed, and accuracy, this section can get you the maximum marks in the examination. Following is the Quantitative Aptitude quiz to help you practice with the best of latest pattern questions.
Directions (1-15): What should come in place of the question mark (?) in the following questions?
Q1. 3.2% of 500 × 2. 4% of ? = 288
650
700
600
750
850
Q2. (– 251 × 21 × (– 12)) ÷ ? = 158.13
250
400
300
15
18
352
314
326
338
426
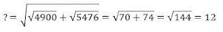
576
144
256
16
12
Q5. (6.5% of 375) – (0.85% of 230) =?
23.42
24.24
21.64
25.76
22.42
Q6. 13.141 + 31.417 – 27.118 =?
16.441
17.543
17.490
17.440
17.590
25
841
729
27
29
Q8. 454.58 - 376.89 + 121.45 - 95.42= ?
102.22
103.72
91.72
92.32
104.42
15
17
18
21
24
Q10. (7.9% of 134) – (3.4% of 79) =?
8.1
7.9
8.6
7.3
6.8
10
2
8
4
12
Q12. 17 × 25 – 240 +? ÷ 41 = 354
6299
6929
9629
7129
6992
Q13. 24.424 + 5.656 + 1.131 + 0.089 = ?
31.003
31.3
31.03
31.0003
3.1
Q15. 56% of 900 + 67% of 1000 = ?% of 2000
58.7
63.3
47.2
41.7
49.8
You May also like to Read:












Daily Current Affairs and GK Updates (28...
LIC HFL Exam Centres 2026, Check State-W...
Global Day of Parents 2026, History, The...


