Quantitative Aptitude Quiz For IBPS PO/Clerk Prelims
Directions (1-5): The following table shows the total no. of students studying in five different colleges and ratio of boys and girls in that. Table also shows the percentage of students who are involved in sports also. Study table carefully to answer the following questions.

Q1. Find the total no. of students who are involved in sports also from collages P, R and T together.
Q2. Total no. of boys from collage Q is how much percent more or less than the total no. of girls from the college S?
Q3. What is the average no. of students from colleges P, Q and R together who are involved in sports also?
Q4. What is the difference between total no. of boys and total no. of girls from colleges R and S together?
Q5. If 20% and 25% students of collages P and T respectively, out of those who are involved in sports also, are sent to a state level game then find the no. of sport students form these colleges who are not sent for the state level games.
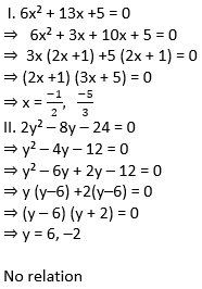
Directions: (6-10): In the following questions two equations in x and y are given. You have to solve both the equations and give the answer
Q6.
Q11. Ravi alone can do a work in 16 days. Trisha’s efficiency is 20 % lesser than that of Ravi. If Archana and Trisha together can do the same work in 12 days, then find the efficiency ratio of Archana to that of Ravi?
Q12. I have 4 coins of Rs. 1, 3 coins of Rs. 5 and 5 coins of Rs. 10 in my pocket. I buy a dozen banana and give Rs. 38 for it. What is the probability of being all types of coins in the money given by me?
Q13. There is a mixture of alcohol and water in which the ratio of alcohol to water is 4 : 5. A person wants to dilute it up to 30% of alcohol. What part of initial quantity of water he should mix in it.
Q14. The population of a colony was 3600 three years back. It is 4800 right now. What will be the population after three years, if the rate of growth of population has been constant over the years and has been compounding annually?
Q15. A man can row 30 Km upstream and 44 Km downstream in 10 hrs. Also, he can row 40 Km upstream and 55 Km downstream in 13 hrs. The rate of the current is:































CAIIB Exam Date 2026 Out (June and Dec C...
AAICLAS Recruitment 2026 Notification Ou...
Big Change In SBI Work Culture, Explaine...


