Home   »   LIC AAO Quantitative Aptitude Miscellaneous Quiz:...

LIC AAO Quantitative Aptitude Miscellaneous Quiz: 2nd April 2019

Dear Aspirants,


LIC AAO Quantitative Aptitude Miscellaneous Quiz: 2nd April 2019

Quantitative Aptitude Quiz For LIC AAO

Numerical Ability or Quantitative Aptitude Section has given heebie-jeebies to the aspirants when they appear for a banking examination. As the level of every other section is only getting complex and convoluted, there is no doubt that this section, too, makes your blood run cold. The questions asked in this section are calculative and very time-consuming. But once dealt with proper strategy, speed, and accuracy, this section can get you the maximum marks in the examination. Following is the Quantitative Aptitude quiz to help you practice with the best of latest pattern questions.





Directions (1-5): Each of the questions below consists of a question and two statements numbered I and II. You have to decide whether the data provided in the statements are sufficient to answer the question. Read the question and both the statements and 



Q1. Train ‘A’ running at a certain speed crosses another train ‘B’ running at a certain speed in the opposite direction in 12 seconds. What is the length of train ‘B’? 
 I. The length of both the trains together is 450 metres. 
 II. Train ‘A’ is slower than train ‘B’.

if the data in statement I alone are sufficient to answer the question, while the data in statement II alone are not sufficient to answer the question.
if the data in statement II alone are sufficient to answer the question, while the data in statement I alone are not sufficient to answer the question.
if the data either in statement I alone or in statement II alone are sufficient to answer the question.
if the data even in both the statements I and II together are not sufficient to answer the question.
if the data in both the statements I and II together are necessary to answer the question.

Solution:
LIC AAO Quantitative Aptitude Miscellaneous Quiz: 2nd April 2019 – Home_3.1

Q2. Area of a rectangle is equal to the area of a right-angled triangle. What is the length of the rectangle? 
 I. The base of the triangle is 40 cm. 
 II. The height of the triangle is 50 cm.

if the data in statement I alone are sufficient to answer the question, while the data in statement II alone are not sufficient to answer the question.
if the data in statement II alone are sufficient to answer the question, while the data in statement I alone are not sufficient to answer the question.
if the data either in statement I alone or in statement II alone are sufficient to answer the question.
if the data even in both the statements I and II together are not sufficient to answer the question.
if the data in both the statements I and II together are necessary to answer the question.
Solution:
LIC AAO Quantitative Aptitude Miscellaneous Quiz: 2nd April 2019 – Home_4.1

Q3. What was the total compound interest on Rs. 1,000 after three years? 
 I. The interest after one year was Rs. 100/- on the same sum. 
 II. The difference between simple and compound interest on the sum of Rs. 1,000/- at the end of two years was Rs. 10/-.

if the data in statement I alone are sufficient to answer the question, while the data in statement II alone are not sufficient to answer the question.
if the data in statement II alone are sufficient to answer the question, while the data in statement I alone are not sufficient to answer the question.
if the data either in statement I alone or in statement II alone are sufficient to answer the question.
if the data even in both the statements I and II together are not sufficient to answer the question.
if the data in both the statements I and II together are necessary to answer the question.
Solution:
LIC AAO Quantitative Aptitude Miscellaneous Quiz: 2nd April 2019 – Home_5.1

Q4. What is the two- digit number where the digit at the unit place is smaller? 
 I. The difference between the two digits is 5. 
 II. The sum of the two digits is 7.

if the data in statement I alone are sufficient to answer the question, while the data in statement II alone are not sufficient to answer the question.
if the data in statement II alone are sufficient to answer the question, while the data in statement I alone are not sufficient to answer the question.
if the data either in statement I alone or in statement II alone are sufficient to answer the question.
if the data even in both the statements I and II together are not sufficient to answer the question.
if the data in both the statements I and II together are necessary to answer the question.
Solution:

LIC AAO Quantitative Aptitude Miscellaneous Quiz: 2nd April 2019 – Home_6.1

Q5. What is the speed of the boat in still water? 
 I. It takes 2 hours to cover distance between A and B downstream. 
II. It takes 4 hours to cover distance between A and B upstream.

if the data in statement I alone are sufficient to answer the question, while the data in statement II alone are not sufficient to answer the question.
if the data in statement II alone are sufficient to answer the question, while the data in statement I alone are not sufficient to answer the question.
if the data either in statement I alone or in statement II alone are sufficient to answer the question.
if the data even in both the statements I and II together are not sufficient to answer the question.
if the data in both the statements I and II together are necessary to answer the question.
Solution:

Neither the
distance between A & B is given nor the speed of stream is given. So we
can’t conclude the answer from both the statements. 

Directions (6-10): Simplify the following questions. 


Q6. 36 × 15 – 56 × 784 ÷ 112 =?

138
238
158
258
148
Solution:

? = 540 – 392
= 148

Q7.28.314 – 31.427 + 113.928 =? + 29.114

81.711
80.701
71.711
81.701
80.107
Solution:

? = 81.701

Q8. 6573 ÷ 21 × (0.2)² =?

18.25
22.6
15.65
12.52
12.89
Solution:

? = 12.52

Q9. 475 + 64% of 950 = 900 +?

183
233
198
186
283
Solution:

? = 475 + 608 – 900 = 183

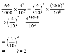
Q10. LIC AAO Quantitative Aptitude Miscellaneous Quiz: 2nd April 2019 – Home_7.1

7
2
8
3
4
Solution:
LIC AAO Quantitative Aptitude Miscellaneous Quiz: 2nd April 2019 – Home_8.1

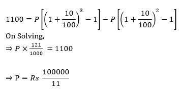
Q11. Anuj has deposited certain amount in the bank to earn compound interest at 10% per annum. The difference in the interest on the amount for 3 years and for 2 years is Rs. 1,100. What amount has Anuj deposited ?

Rs. 10,000
Rs. 11,000
Rs. 10,500
Data inadequate
None of these
Solution:
LIC AAO Quantitative Aptitude Miscellaneous Quiz: 2nd April 2019 – Home_9.1

Q12. The sum of ages of a father and son is 45 years. Five years ago, the product of their ages was four times the father’s age at that time. The present age of the father is :

39 years
36 years
25 years
Can’t be determined
None of these
Solution:

Let father’s age = x
Then, son’s age = 45-x
According to question,
 (x-5)(40-x)=4(x-5)
 ⇒ x=40-x=36 years

Q13. In an examination, 40% marks are required to pass. A obtains 10% less than the number of marks required to pass. B obtains 11 (1/9)% less than A and C obtained 41 (3/17)% less than the number of marks obtained by A and B together. What percent of marks did C get?

50%
40%
35%
45%
75%
Solution:

LIC AAO Quantitative Aptitude Miscellaneous Quiz: 2nd April 2019 – Home_10.1

Q14. When the price of tea was increased by 25%, a family reduced its consumption in such a way that expenditure on tea was only 20% more than before. If 25 kg were consumed per month before, find the new monthly consumption.

24 kg
20 kg
34 kg
40 kg
18 kg
Solution:

LIC AAO Quantitative Aptitude Miscellaneous Quiz: 2nd April 2019 – Home_11.1

Q15. The loss incurred on selling an article for Rs 270 is as much as the profit made after selling it at 10% profit. The CP of the article is:

Rs 90
Rs 110
Rs 363
Rs 300
Rs 226
Solution:

LIC AAO Quantitative Aptitude Miscellaneous Quiz: 2nd April 2019 – Home_12.1

               






You May also like to Read:
LIC AAO Quantitative Aptitude Miscellaneous Quiz: 2nd April 2019 – Home_13.1        LIC AAO Quantitative Aptitude Miscellaneous Quiz: 2nd April 2019 – Home_14.1   


Print Friendly and PDF
prime_image
QR Code
Scan Me