Directions (1-5): Solve the following equations and mark the correct option given below.
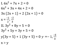
Q1. I. 6x² + 7x + 2 = 0
II. 3y² + 8y + 5 = 0
Q2. I. 7x² – 23x + 6 = 0
II. y² – 7y + 12 = 0
Q3. I. 5x² + 13x – 6 = 0
II. 2y² + 13y – 7 = 0
Q4. I. 4x + 3y = 4
II. 6x + 5y = 8
Q5. I. x² - 19x + 88 = 0
II. y² + y – 56 = 0
Q6. P, Q and R can complete a work in 12, 15 and 25 days respectively. They received Rs. 13,500 for the completion of work. P and Q started the work together but after 2 days, Q left the work and P left 7 days before the completion of the work. The remaining work is completed by R working for the last 5 days. Then, find the share of P.
Q7. The sum of the ages of mother and daughter is 65 years. 10 years ago the product of their ages was 5 times the age of mother at that time. Then find the ratio of the present age of mother to the present age of daughter(age of mother is greater than 30 years).
Q8. A shopkeeper after allowing two successive discounts of 20% and 16⅔% on the marked price, earns a profit of 25% on selling the book. Find the ratio of cost price to the marked price of a book ?
Q9. Two places Aurangabad and Ellora are 120 km apart. Two cyclists leave Ellora for Aurangabad such that second leaves 4 hours after the first. Both the cyclists arrive at Aurangabad at the same time. Find the time taken by the slower cyclist on the trip if the speed of one cyclist is 5 km/hr more than the other.
Q10. A rectangular field of area 720 m² is to be fenced on three sides leaving a side of 24 m uncovered. Perimeter of another triangular shaped field is 1/3rd of the perimeter of rectangular shaped field. Find the area of the triangular shaped field if its all sides are equal.
Directions (11-15): Study the given line graph carefully and answer the following questions.
Given graph shows the total number of males and females working in six different companies in year 2016
Q11. Average no. of female employees in company X, Y and K are how much more/less than average no. of male employees in company X, Y and L?
Q12. No. of female employees in company L is what percent of the total no. of employees in company K and L together?
Q13. If the no. of male employees in company Y and Z are increased by 10% and 20% respectively in year 2017 as compared to 2016 and no. of female employees in company Y and Z are decreased by 30% & 40% respectively in 2017 as compared to 2016. Then find ratio of total no. of employees in company Y to company Z in year 2017 ?
Q14. If 25% of the female employees in company L are illiterate and ratio of male literate to (male)illiterate in same company is 4 : 5 then find total illiterate employees in company L is what percent of the total employees of company K?
Q15. If there is another company A in which no. of male employees are 40% of the total employees in company M and female employees are half of the total employees in company X then find total employees in company A?
- Quantitative Aptitude Study Notes for Bank Exams
- 100 MCQs Data Interpretation | Download Free PDF's of DI
- Quantitative Aptitude Questions for all Competitive Exams






Quantitative Aptitude Quiz For IDBI AM/E...
Quantitative Aptitude Quiz For IBPS RRB ...


