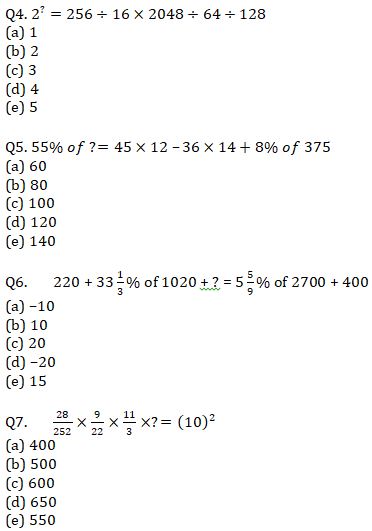
Directions (1-15): What value will come in place of question mark (?) in the given questions?




Practice More Questions of Quantitative Aptitude for Competitive Exams:
Solutions




Click Here to Register for Bank Exams 2021 Preparation Material

Directions (1-15): What value will come in place of question mark (?) in the given questions?




Practice More Questions of Quantitative Aptitude for Competitive Exams:
Solutions




Click Here to Register for Bank Exams 2021 Preparation Material
