Dear Readers,
Practice is the key to perfection in Quant, so brush up your skills and test yourself with these 15 questions of Quantitative Aptitude for RBI Grade-B 2017.
Q1. A dealer sold a radio at a loss of 2.5%. Had he sold it for Rs 100 more, he would have gained 7.5%. For what value should he sell it in order to gain 12.5%?
(a) Rs. 1120
(b) Rs. 1150
(c) Rs. 1125
(d) Rs. 1225
(e) None of these
Q2. A man has whisky worth Rs. 22 a litre and another lot worth Rs 18 a litre. Equal quantities of these are mixed with water to obtain a mixture of 50 litres worth Rs 16 a litre. Find how much water the mixture contains?
(a) 5 litres
(b) 10 litres
(c) 15 litres
(d) 20 litres
(e) None of these
Q3. A alone would take 27 hours more to complete the job than if both A and B would together. If B worked alone, he took 3 hours more to complete the job than A and B worked together. What time, would they take if both A and B worked together?
(a) 8 hours
(b) 10 hours
(c) 9 hours
(d) 6 hours
(e) None of these
Q4. A train leaves the station 1 hour before the scheduled time. The driver decreases its speed by 50 km/hr. At the next station 300 km away, the train reached on time. Find the original speed of the train.
(a) 100 km/hr
(b) 150 km/hr
(c) 200 km/hr
(d) 180 km/hr
(e) None of these
Q5. The dimensions of a room are 12.5 metres by 9 metres by 7 metres. There are 2 doors and 4 windows in the room; each door measures 2.5 metres by 1.2 metres and each window 1.5 metres by 1 metre. Find the cost of painting the walls at Rs 3.50 per square metre.
(a) Rs 1011.50
(b) RS 1050.50
(c) Rs 1101.50
(d) Can’t be determined
(e) None of these
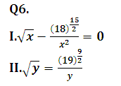
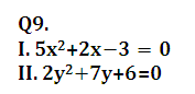
Directions (Q.6-10): Two equations I and II are given below in each question. You have to solve these equations and give answer
(a) if x<y
(b) if x>y
(c) if x≤y
(d) if x≥y
(e) if x=y or no relation can be established
Directions (Q.11-15): Find out wrong number in following number series:
Q11. 1500, 1581, 1664, 1749, 1833, 1925, 2016
(a) 2016
(b) 1664
(c) 1833
(d) 1581
(e) 1925
Q12. 1, 5, 3, 17, 19, 67, 91
(a) 19
(b) 67
(c) 3
(d) 91
(e) 5
Q13. 655, 439, 314, 250, 233, 215
(a) 233
(b) 314
(c) 439
(d) 215
(e) 250
Q14. 582 605 588 611 634 617 600
(a) 634
(b) 611
(c) 605
(d) 600
(e) 582
Q15. 37 4752 67 87 112 142
(a) 47
(b) 52
(c) 67
(d) 87
(e) 112
You may also like to read:




RBI Grade B Notification 2026 Out For 60...
RBI Grade B 2026 Exam Date Out, Check Pr...
RBI Grade B Syllabus 2026, Check Complet...


