. .
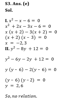
Directions (1-5): In the given below questions, two equations (I) and (II) are given. You have to solve both the equations and mark the answer accordingly.
(a) x>y
(b) x<y
(c) x≤y
(d) x≥y
(e) x=y or no relation.

. .
Solutions




.
The selection process of the Bank Clerk is Prelims & Mains.