Dear Aspirants,
Numerical Ability or Quantitative Aptitude Section has given heebie-jeebies to the aspirants when they appear for a banking examination. As the level of every other section is only getting complex and convoluted, there is no doubt that this section, too, makes your blood run cold. The questions asked in this section are calculative and very time-consuming. But once dealt with proper strategy, speed, and accuracy, this section can get you the maximum marks in the examination. Following is the Quantitative Aptitude quiz to help you practice with the best of latest pattern questions.
Q1. There are two taps to fill a tank and a third to empty it. When the third tap is closed, they can fill the tank in 10 min and 12 min, respectively. If all the three taps are opened, the tank is filled in 15 min. If the first two taps are closed, in what time can the third tap empty the tank when it is full?
Q2. One pipe can fill a tank three times as fast as another pipe. If together the two pipes can fill the tank in 36 minutes, then the slower pipe alone will be able to fill the tank in:
81 min
108 min
144 min
192 min
156 min
Q3. A leak in the bottom of a tank can empty the filled tank in 6 hours. An inlet pipe fills water in the tank at the rate of 4 litre per minute. When the tank is full, then inlet pipe is opened and due to leakage tank is emptied in 10 hours. Then what is the capacity of the tank?
3600 litre
3500 litre
4800 litre
3200 litre
2400 litre
Q4. A man covers a certain distance from A to B on scooter. Had he moved 2 kmph faster, he would have taken 1 hour less. If he had moved 2 kmph slower, he would have taken 2 hours more. Find the distance between A to B:
20 km
24 km
22 km
40 km
48 km
Q5. How many kg of salt at 25 paise per kg must be mixed with 50 kg of salt costing 42 paise per kg so that a merchant will get a profit of 30% by selling the mixture at 39 paise per kg?
179.2 kg
120 kg
175 kg
150 kg
160 kg
Directions (6-10): Following bar diagram shows the monthly expenditure of two families i.e. Gupta family and Mishra family on food, dressing, education, make up, electricity bill and miscellaneous (in percentage).
Q6. What fraction of the total expenditure is spent on Education by Gupta family?
2/5
1/5
3/5
4/5
5/7
Q7. If the total annual expenditure of Mishra family is Rs. 1,00,000 then money spent on dresses during the year by Mishra family is:
Rs. 2000
Rs. 20000
Rs. 6000
Rs. 60000
Rs. 24000
Q8. If the total annual expenditure of Gupta family is Rs. 3,00,000 then money spend on food, dresses and electricity bill during the year by Gupta family is:
Rs. 1,65,000
Rs. 1,80,000
Rs. 2,10,000
Rs. 1,50,000
Rs. 1,25,000
Q9. If both the families have the same expenditure, which one spends more on education and miscellaneous together?
Gupta family
Mishra family
Both families spend same
Can’t be determined
None of these
Q10. If annual expenditures of Gupta family and Mishra family are Rs.1,20,000 and Rs.1,08,000 respectively, then total monthly expenditure on makeup by Gupta family is how much percent more than that by Mishra family?
400/3%
200/3%
700/3%
500/3%
550/3%
Directions (11-15): In each of these questions, two equations (I) and (II) are given. You have to solve both the equations and give answer
Q11. I. 63x²+95x+22=0
II. 14y²+87y+40=0
if x>y
if x≥y
if x
if x ≤y
if x = y or no relation can be established between x and y.
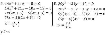
Q12. I. 14x²+11x-15=0
II. 20y²-31y+12=0
if x>y
if x≥y
if x
if x ≤y
if x = y or no relation can be established between x and y.
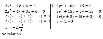
Q13. I. 2x²+7y+6=0
II. 5y²+10y-15=0
if x>y
if x≥y
if x
if x ≤y
if x = y or no relation can be established between x and y.
Q14. I. x²=1024
II. 3y+321=2y+1407
if x>y
if x≥y
if x
if x ≤y
if x = y or no relation can be established between x and y.
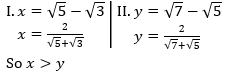
Q15. I. x=√5-√3
II. y=√7-√5
if x>y
if x≥y
if x
if x ≤y
if x = y or no relation can be established between x and y.






Quantitative Aptitude Quiz For IDBI AM/E...
Quantitative Aptitude Quiz For IBPS RRB ...


