Reasoning Questions for SBI CLERK 2019
Reasoning Ability is a crafty section. With each passing year, all the organizations are increasing the level of complexity of the questions that are asked in either prelims or mains. It eventually affects the number of question one can usually attempt. But this section is based on logic and rules can be aced if practised well enough. The only way to achieve this ambitious goal is by practising continuously with dedication. So to prepare you with best tools for the finals, here is today’s Reasoning Quiz based on the study plan and the exact same pattern of questions that are expected to be asked in SBI Clerk Prelims 2019. Keep Practicing. All the best
Directions (1-5): In each of the questions below are given some statements followed by some Conclusions. You have to take the given statements to be true even, if they seem to be at variance from commonly known facts. Read all the conclusions and then decide which of the given conclusions logically follows from the given statements disregarding commonly known facts.
Q1. Statements:
Some study are class.
Only a few class is student.
All student are book.
Conclusions:
I. All student are study.
II. At least some book are class.
III. Some book being study is a possibility.
Only I follows
Only II follows
Only III followsss
II and III follow
None of the above
Q2. Statements:
All mango are kiwi.
Only a few kiwi is grapes.
Some grapes are apples.
Conclusions:
I. Some apples are not kiwi.
II. All grapes are mangos.
III. All kiwi are grapes is a possibility.
Only I follows
I and II follow
I and III follow
Only III follows
None follows
Q3. Statements:
All orange are green.
Some green is yellow.
No yellow is blue.
Conclusions:
I. At least some blue is orange.
II. Few yellow being orange is a possibility.
III. No blue is Green.
Only I follows
Only II follows
Only III follows
Either I or III follows
None of these
Q4. Statements:
All mobiles are camera.
Some camera is picture.
No mobile is image.
Conclusions:
I. Only image is camera.
II. Some picture is mobiles.
III. All image is camera is a possibility.
I and II follow
Only III follows
I and III follow
All follow
None of these
Q5. Statements:
All Tea are Milk.
Only a few Milk is Water.
All Coffee are Milk.
Conclusions:
I. Few Coffee are water.
II. Only coffee is tea is a possibility.
III. All water is milk is a possibility.
I and II follow
I and III follow
II and III follow
All follow
None of these
Directions (6-10): In each question below are some statements followed by some conclusions. You have to take the three given statements to be true even if they seem to be at variance from commonly known facts and then decide which of the given conclusions logically follows from the three statements disregarding commonly known facts. Give answer
Q6. Statements:
All rose are jasmine.
All jasmine is lily.
No jasmine is tulip.
Conclusions:
I. All lily is rose.
II. Some tulips are rose.
If only conclusions I follows.
If only conclusions II follows.
If either I or II follows.
If neither I nor II follows.
If both I and II follow.
Q7. Statements:
Only a few black is pink.
All pink is brown.
Some brown is white.
Conclusions:
I. All brown is black is a possibility.
II. Some pink is white.
If only conclusions I follows.
If only conclusions II follows.
If either I or II follows.
If neither I nor II follows.
If both I and II follow.
Q8. Statements:
Some myntra are flipkart.
All flipkart are amazon.
No amazon is snapdeal.
Conclusions:
I. All myntra is snapdeal is a possibility.
II. Only few amazon is myntra.
If only conclusions I follows.
If only conclusions II follows.
If either I or II follows.
If neither I nor II follows.
If both I and II follow.
Q9. Statements:
Some paint are brush.
Only a few brush is colour.
All purple is colour.
Conclusions:
I. All brush is purple is a possibility.
II. All colour is paint is a possibility.
If only conclusions I follows.
If only conclusions II follows.
If either I or II follows.
If neither I nor II follows.
If both I and II follow.
Q10. Statements:
All positives are negative.
All change is neutral.
Some negative are change.
Conclusions:
I. Some Change are positives.
II. No Change are positive.
If only conclusions I follows.
If only conclusions II follows.
If either I or II follows.
If neither I nor II follows.
If both I and II follow.
Directions (11-15): In these questions some statements are followed by some conclusions numbered. You have to take the three given statements to be true even if they seem to be at variance from commonly known facts and then decide which of the given conclusions logically follows from the given statements disregarding commonly known facts.
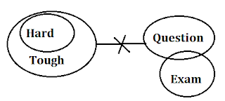
Q11. Statements:
All hard are tough.
All hard are tough.
No tough is a question.
Some question are exam.
Conclusions:
I. All hard being exam is a possibility.
II. No hard is a question.
Only I follows.
Only II follows.
Both I and II follow.
Either I or II follows.
Neither I nor II follows.
Q12. Statements:
All eraser are sharpener.
Only Few pencil are eraser.
No pencil is Pen
Conclusions:
I. No eraser is a pen.
II. All sharpeners are pencil is a possibility.
Only I follows.
Only II follows.
Either I or II follows.
Neither I nor II follows.
Both I and II follow.
Q13. Statements:
All white is blue.
Some blue is olive.
No olive is an grey.
Conclusions:
I. Only a few white is olive.
II. Some grey being blue is a possibility.
Either I or II follows.
Both I and II follow.
Only I follows.
Neither I nor II follows.
Only II follows.
Q14. Statements:
All earth are suns.
No sun are moon.
Few moon are Jupiter.
Conclusions:
I. All earth are Jupiter.
II. No sun is a Jupiter.
Either I or II follows.
Only II follows.
Neither I nor II follows.
Only I follows.
Both I and II follow.
Q15. Statements:
All rectangle is square.
Some squares are circles.
No rectangle is a triangle.
Conclusions:
I. All squares can never be triangle.
II. At least some rectangle is circle.
Either I or II follows.
Both I and II follow.
Neither I nor II follows.
Only I follow.
Only II follows.
You may also like to Read:
- Check the Study related Articles Here
- Study Notes for All Banking Exams 2018
- Bankers Adda Daily Questions for SBI PO, IBPS PO Clerk & Bank Exams



























Daily Current Affairs and GK Updates (29...
HPSCB Junior Clerk Recruitment 2026, Las...
Which Online Coaching Providers Offer Th...


