Quantitative Aptitude Quiz For SBI PO/Clerk Prelims
Numerical Ability or Quantitative Aptitude Section has given heebie-jeebies to the aspirants when they appear for a banking examination. As the level of every other section is only getting complex and convoluted, there is no doubt that this section, too, makes your blood run cold. The questions asked in this section are calculative and very time-consuming. But once dealt with proper strategy, speed, and accuracy, this section can get you the maximum marks in the examination. Following is the Quantitative Aptitude quiz to help you practice with the best of latest pattern questions.
Directions (1-5): Study the following information carefully and answer the questions given beside.
Krishna invested some money under 20% per annum simple interest in Axis bank. At the end of one – year, he withdrew all amount from the Axis bank and invested in Bandhan bank at the rate of R % per annum under compound interest compounded annually for two years and received Rs. 57600 as total interest from the Bandhan bank. The first year’s interest at Bandhan bank was Rs. 24000.
Q1. In starting, how much money had Krishna invested in Axis bank?
Rs. 60000
Rs. 75000
Rs. 10000
Rs. 50000
Rs. 55500
Solution:
Q2. Total how much interest did Krishna get from the Axis bank and the Bandhan bank together?
Rs. 68600
Rs. 67600
Rs. 64600
Rs. 71200
Rs. 76400
Solution:
Q3. If the rate of interest was interchanged i.e. Axis bank had offered R% per annum simple interest and Bandhan bank had offered 20% per annum compound interest, then how much less money Krishan would have received at the end of 3 years?
Rs. 16800
Rs. 15800
Rs. 14800
Rs. 16400
Rs. 12400
Q4. If Krishan had invested the sum of money only in Axis bank for 3 years under 20% per annum simple interest then at the end of 3 years, total how much simple interest he would have received from the Axis bank?
Rs. 25000
Rs. 30000
Rs. 40000
Rs. 20000
Rs. 15000
Q5. If the first year’s compound interest at Bandhan bank was same as the simple interest received from the Axis bank at the end of 1 year and the rate of interest for the Bandhan bank remained constant, then what should be the rate of interest for Axis bank?
40%
50%
66⅔%
66⅖%
None of these
Directions (6-15): What should come in place of the question mark (?) in the following questions?
6
4
12
2
8
Q7. 46% of 450 +? % of 19.07 = 359.56
795
805
815
800
820
8
12
9
11
5
17/8
4 ⅔
4 ⅓
8 ⅔
3¼
Q10. 1701 ÷ 2100 + 3087 ÷ 6300 + 832 ÷ 5200 =?
1.0019
101.9
0.1019
10.19
1.46
Q11. 39% of 450 + 51% of 340 – 40% of 255 =?
264.9
246.9
236.9
242.9
251.7
6369
6269
7629
7269
7379
Q14. 3564 + 3486 ÷ 10 + 57434 ÷ 100 – 67385 ÷ 100 =?
3813.09
3138.09
3613.09
3713.09
3513.09
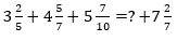
2/21
8/21
1/21
1/23
5/23























Mixture & Alligation Questions for B...
How to Analyze Mock Test Mistakes for RB...
AAICLAS Recruitment 2026 Notification Ou...


