Directions (1-3): Study the following information carefully and answer the questions that follow.
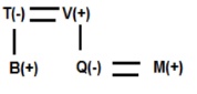
‘A $ B' means 'A is father of B'.
‘A # B' means 'A is mother of B'.
‘A @ B' means 'A is wife of B'.
`A % B' means 'A is son of B'.
Q1. Which of the following expressions indicates 'T is mother of Q?
Q2. If the expression is O #R % T $ S, then how is T related to R?
Q3. If the expression is D@Q$N@P%M, then how is M related to N?
Q4. Swati walks 20 m towards east. Then She takes right again and walk 10 m. Then she turns left and walks 10 m and then turning right and walk 20 m. Then she turns right again and walk 60 m. She is in which direction from her starting point?
Q5. Prakash starts walking towards East. After walking 35 m, he turns to his right and walks another 40 m. He then turns right again and walks another 35 m. Finally, he turns right and walks 20 m. In which direction and how far is he from the starting point?
Directions (6-10): Study the following graph and answer the questions. Percent profit earned by two companies over the given years where %P
Q6. If the income of Samsung in 2007-08 was equal to the expenditure of Apple in 2010-11, What was the ratio of their respective profits?
Q7. In 2011-12, the income of Apple was 119 crores. What was its expenditure (in crores) in that year?
Q8.What was the expenditures (in crores) of the two companies in 2008-09?
Q9. For Samsung, its income in 2010-11 was equal to its expenditure in 2011-12. What was the ratio of its respective incomes in these two years?
Q10. For Apple, in which year is the percent increase in percent profit over that of pervious year the highest?
Directions (11-15): Read the following passage carefully and answer the questions given below them. Certain words/phrases have been printed in bold to help you locate them while answering some of the questions.
DONALD TRUMP is hardly the first American president to slap unilateral tariffs on imports. Every inhabitant of the Oval Office since Jimmy Carter has imposed some kind of protectionist curbs on trade, often on steel. Nor will Mr.Trump’s vow to put 25% tariffs on steel and 10% on aluminium by themselves wreck the economy: they account for 2% of last year’s $2.4trn of goods imports, or 0.2% of GDP. If this were the extent of Mr Trump’s protectionism, it would simply be an act of senseless self-harm. In fact, it is a potential disaster—both for America and for the world economy. As yet it is unclear exactly what Mr.Trump will do. But the omens are bad. Unlike his predecessors, Mr.Trump is a long-standing sceptic of free trade. He has sneered at the multilateral trading system, which he sees as a bad deal for America. His administration is chaotic, and Gary Cohn’s ominous decision on March 6th to resign as the president’s chief economic adviser deprives the White House of a rare free-trader, signaling that it has fallen into protectionist hands. Not since its inception at the end of the second world war has the global trading system faced such danger. Rough trade- This danger has several dimensions. One is the risk of tit-for-tat escalation. After the EU said it would retaliate with sanctions on American goods, including bourbon and Harley-Davidson motorbikes, Mr.Trump threatened exports of European cars. The second danger springs from Mr Trump’s rationale. The tariffs are based on a little-used law that lets a president protect industry on grounds of national security. That excuse is self-evidently spurious. Most of America’s imports of steel come from Canada, the European Union, Mexico and South Korea, America’s allies. Canada and Mexico look set to be temporarily excluded— but only because Mr.Trump wants leverage in his renegotiation of the North American Free-Trade Agreement, which has nothing to do with national security. Mr.Trump is setting a precedent that other countries are sure to exploit to protect their own producers, just as spuriously. It is not clear whether other countries can respond legally when national security is invoked in this way. This puts the World Trade Organization (WTO) into a rat trap. Either Mr.Trump will provoke a free-for-all of recrimination and retaliation that the WTO’s courts cannot adjudicate, or the courts will second-guess America’s national-security needs, in which case Mr.Trump may storm out of the organization altogether.
Q11. What is seen by Mr.Trump as the bad deal for America?
Q12. Tariffs on steel and aluminum account for how many percent?
Q13. What signal did it give when Gary Cohn’s decided to resign?
Q14. Choose the word which is MOST SMILAR to the word given in passage. WRECK
Q15. What is the theme of the passage?
You May Also Like to Read:
- Learn more new words and their meaning to improve your vocabulary.
- Click here for New Pattern English Language Quiz.
- Computer Aptitude Questions for bank exams.
- Computer Study Notes for bank exams






RBI Grade B Notification 2026 Out For 60...
RBI Grade B 2026 Exam Date Out, Check Pr...
RBI Grade B Syllabus 2026, Check Complet...


