Dear Aspirants,
Quantitative Aptitude Quiz For IBPS PO/Clerk Prelims
Numerical Ability or Quantitative Aptitude Section has given heebie-jeebies to the aspirants when they appear for a banking examination. As the level of every other section is only getting complex and convoluted, there is no doubt that this section, too, makes your blood run cold. The questions asked in this section are calculative and very time-consuming. But once dealt with proper strategy, speed, and accuracy, this section can get you the maximum marks in the examination. Following is the Quantitative Aptitude quiz to help you practice with the best of latest pattern questions.
Directions (1-15): Simplify the following problems.
Q1. 56% of 958 + 67% of 1008 = ?% of 2000
60.592
47.622
42.86
91.455
65.092
11
19
13
21
23
Q3. (47 × 588) ÷ (28 × 120) = ?
6.284
7.625
8.225
8.285
82.25
42
43
39
37
47
Q5. 74156 – ? – 321 – 20 + 520 = 69894
3451
4441
5401
4531
4414
Q6. 21² - 3717 ÷ 59 = ? × 8
43.75
42.25
45.75
47.25
44.25
1.2
1.02
0.12
0.012
0.0012
10354.15
10578.15
10802.15
11250.15
10280.15
1.0402
1.4
1.5
10.404
1.0404
256
81
121
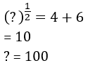
100
144
2
16
256
4
(256)²
3
1
4
7
2
3
81²
225
9
12
Q15. 18.5 × 21.4 × ? = 6255.22
15.8
14.6
17.4
17.2
16.4






































JAIIB RBWM Exam Analysis 2026, 17 May Al...
JAIIB RBWM Memory Based Questions, Downl...
How Toppers Start Preparing for IBPS SO?


