IBPS RRB Quantitative Aptitude Quiz
Here, we are providing IBPS RRB Study plan as there is left not enough time to deal in details. The questions asked in the quantitative aptitude section are calculative and very time-consuming. But once dealt with proper strategy, speed, and accuracy, this section can get you the maximum marks in the examination. Following is the Quantitative Aptitude quiz to help you practice with the best of latest pattern questions
Directions (1-5): In these questions, two equations numbered I and II are given. You have to solve both the equations and give answer:
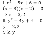
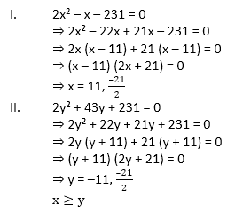
Q1. 
if x < y
if x > y
if x ≤ y
if x ≥ y
if relationship between x and y cannot be determined
if x < y
if x > y
if x ≤ y
if x ≥ y
if relationship between x and y cannot be determined
if x < y
if x > y
if x ≤ y
if x ≥ y
if relationship between x and y cannot be determined
if x < y
if x > y
if x ≤ y
if x ≥ y
if relationship between x and y cannot be determined
if x < y
if x > y
if x ≤ y
if x ≥ y
if relationship between x and y cannot be determined
Directions (6-10): In the following questions, two equations in x and y are given. Solve these equations and give answer
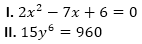
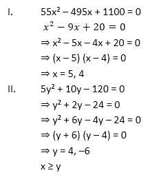
Q6. 
if x > y
if x < y
if x ≥ y
if x ≤ y
x = y or relation cannot be established between x and y
if x > y
if x < y
if x ≥ y
if x ≤ y
x = y or relation cannot be established between x and y
if x > y
if x < y
if x ≥ y
if x ≤ y
x = y or relation cannot be established between x and y
if x > y
if x < y
if x ≥ y
if x ≤ y
x = y or relation cannot be established between x and y
if x > y
if x < y
if x ≥ y
if x ≤ y
x = y or relation cannot be established between x and y
Directions (11- 15): In the following questions, two equations numbered I and II are given. You have to solve both equations and give answer among the following options.
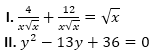
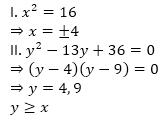
Q11. 
if x > y
if x ≥ y
if x < y
if x ≤ y
if x = y or the relationship cannot be established.
if x > y
if x ≥ y
if x < y
if x ≤ y
if x = y or the relationship cannot be established.
if x > y
if x ≥ y
if x < y
if x ≤ y
if x = y or the relationship cannot be established.
if x > y
if x ≥ y
if x < y
if x ≤ y
if x = y or the relationship cannot be established.
if x > y
if x ≥ y
if x < y
if x ≤ y
if x = y or the relationship cannot be established.
You May also like to Read:
- Quantitative Aptitude Study Notes for Bank Exams
- 100 MCQs Data Interpretation | Download Free PDF's of DI
- Quantitative Aptitude Questions for all Competitive Exams
































RBI Grade B Previous Year Question Paper...
Indian Bank SO Recruitment 2026, Apply O...
RBI Grade B Notification 2026 Out For 60...


