Quantitative Aptitude For IBPS Clerk Main
Q1. Two inlet pipes P and Q can fill a tank in 24 minutes and 32 minutes respectively. If both the pipes are opened simultaneously, after how much time should Q be closed so that the tank is full in 18 minutes ?
Q2. A tank is normally filled in 8 hours but takes 2 hours longer to fill because of a leak in its bottom. If the Tank is full, in how many hrs will the leak empty it ?
Q3. Three pipes M, N and Q are connected to a tank. M and N together can fill the tank in 10 hours, N and Q together in 15 hours and Q and M together in 12 hrs. In how much time will pipe fill the tank together (in hours) ?
Q4. In how many ways can 7 Indians, 5 Pakistanis and 6 Dutch be seated in a row so that all persons of the same nationality sit together?
Q5. There are 8 consonants and 5 vowels in a word jumble. In how many ways can we form 5 -letter words having three consonants and 2 vowels?
Directions (6-10): Read the given data carefully and answer the given question Total Investment in thousand made by Animesh and Rishi is 6 different schemes (P, Q, R, S, T, & U) is shown in bar graph
Table shows the ratio of investment of Animesh and Rishi.
Q6. If scheme P offers simple Interest at r% per annum and total interest obtained from schemes P for 2 years is 11200, then find r% and share of interest of Animesh.
Q7. What is ratio of total investment of Animesh in scheme P, Q and S together to the total investment made in scheme R, T and U by Rishi?
Q8. Average of investment made by Animesh in scheme P, R is what % of average of investment made by Rishi in scheme T and U? (Approximately)
Q9. The total investment by Animesh in scheme Q, R and U together is what approximate more or less than the total investment by Rishi in scheme P, S and T together?
Q10. What is the ratio of total amount invested by Animesh to total amount invested by Rishi in all the schemes together? (except schemes T and U)
Directions (11-15): In each of these questions, two equation (I) and (II) are given. You have to solve both the equations and give answer
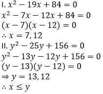
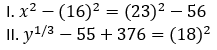
Q11.







Daily Current Affairs Quiz 29th April 20...
Union Bank of India Apprentice Recruitme...
Union Bank Apprentice Salary 2026, Job P...


