Directions (1-10): What will come in place of question (?) mark in the following questions?
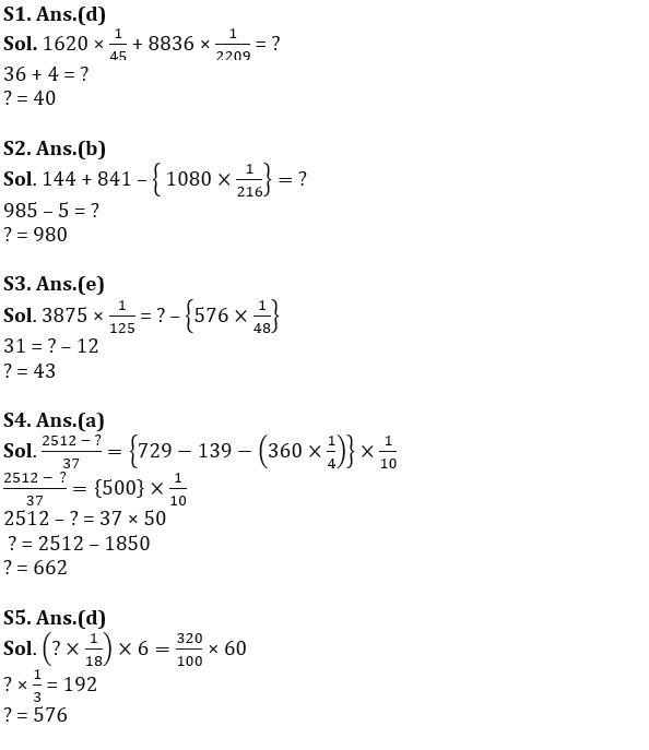
Q1. 1620 ÷ 45+ 8836÷ (47)² = ?
(a) 50
(b) 42
(c) 48
(d) 40
(e) 45
Q2. (12)² + (29)² – {(425+ 655) ÷ (6)³} = ?
(a) 1030
(b) 980
(c) 1065
(d) 1090
(e) 1025
Q3. 3875 ÷(5)³ = ? -{(24)²÷48}
(a) 45
(b) 49
(c) 41
(d) 47
(e) 43

Q5. (? ÷18)×6=320% of 60
(a) 560
(b) 568
(c) 554
(d) 576
(e) 578
Solutions

. . . . . . . .




English Language Quiz For Bank Foundatio...
Quantitative Aptitude Quiz For Bank Main...


