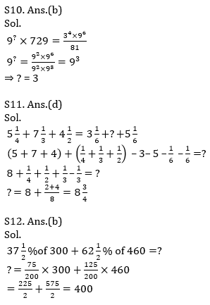
Directions (1-15): What should come in place of question mark (?) in the following questions?





Solutions




Click Here to Register for Bank Exams 2021 Preparation Material

Directions (1-15): What should come in place of question mark (?) in the following questions?





Solutions




Click Here to Register for Bank Exams 2021 Preparation Material
