Direction (1-10): In each of these questions, two equation (I) and (II) are given. You have to solve both the equations and give answer.
(a) x>y
(b) y> x
(c) x ≥y
(d) x ≤y
(e) x =y or no relation can’t be established.


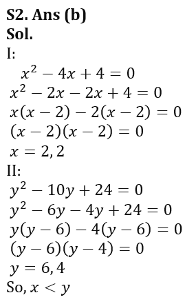
Solutions










. . . . . . . .
Direction (1-10): In each of these questions, two equation (I) and (II) are given. You have to solve both the equations and give answer.
(a) x>y
(b) y> x
(c) x ≥y
(d) x ≤y
(e) x =y or no relation can’t be established.


Solutions










. . . . . . . .
The IBPS Clerk Mains exam is scheduled for 7 October 2023.


