Q1. A can complete 3/5th of the work in 9 days. A and B together do 1/5th of the same work in 7/4 days. Find time taken by B to complete the work alone.
(a) 25 days
(b) 21 days
(c) 18 days
(d) 24 days
(e) 15 days
Q2. How many words can be formed by using word LAPTOP?
(a) 360
(b) 420
(c) 720
(d) 320
(e) 280
Q3. Train A crosses a pole and platform in 26 sec and 36 sec respectively. If the speed of the train is 90 kmph, find the length of the platform.
(a) 350 m
(b) 300 m
(c) 450 m
(d) 250 m
(e) 200 m
Q4. Dharam invest Rs P at the rate of 12% per annum for two years on compound interest. After two years he gets total amount of Rs (P + 1590). Find value of P.
(a) Rs 7840
(b) Rs 5250
(c) Rs 1590
(d) Rs 7250
(e) Rs 6250
Q5. If Sanjay was one-third of the age of his father 10 years ago and will become half of the age of his father after 5 years from now, then find present age of Sanjay.
(a) 25 years
(b) 28 years
(c) 30 years
(d) 21 years
(e) 30 years
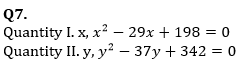
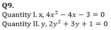
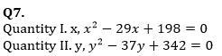
Directions (6-10): In the following questions, two quantities are given, one as ‘Quantity I’ and another as ‘Quantity II’. You have to compare numerical values of both the quantities and choose the appropriate Option.
(a) Quantity I > Quantity II
(b) Quantity I ≥ Quantity II
(c) Quantity I ≤ Quantity II
(d) Quantity I < Quantity II
(e) Quantity I = Quantity II or no relation.
Q6. Quantity I. A and B can complete a piece of work in 10days and 15 days respectively. Time taken by A and B together to complete the work.
Quantity II. C can complete a work in 9 days and efficiency of D is 50% more than that of C. Time taken by D to complete the work.

Q8. Quantity I. A shopkeeper sold a product for Rs. 420 at 20% discount and he marked article 50% above cost price. Cost price of article.
Quantity II. M.R.P. of an article is Rs. 640, two successive discounts of 12.5% is given. S.P. of article.

Q10. Quantity I. A train can cross a pole in 15 sec with speed of 900 m/min. Length of train in meter.
Quantity II. A train can cross a pole in 9sec and a tunnel of length 200m in 17 sec. Length of a bridge if train cross a bridge in 18 sec.
Directions (11-15): What will come in the place of question Mark (?) in the following number series:
Q11. 432, 444, 460, 482, 508, ?
(a) 532
(b) 540
(c) 572
(d) 516
(e) 550
Q12. 112, 56, 224, 28, 448, ?
(a) 14
(b) 16
(c) 12
(d) 24
(e) 7
Q13. 18, 8, 30, 20, 42, ?
(a) 38
(b) 36
(c) 28
(d) 32
(e) 30
Q14. 8, 6, 8, 14, 30, ?
(a) 75
(b) 76
(c) 77
(d) 78
(e) 79
Q15. 200, 270, 360, 472, 608, ?
(a) 690
(b) 710
(c) 770
(d) 840
(e) 774
Solutions

Click Here to Register for Bank Exams 2021 Preparation Material




Indian Bank SO Exam Date 2026 for 350 Po...
Union Bank of India Apprentice Recruitme...
Daily Current Affairs and GK Updates (29...


