Directions (1-10): In each of these questions, two equations numbered I and II are given. You have to solve both the equation and give answer.
Q1.
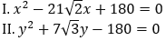
![]()
(a) if x < y
(b) if x ≤ y
(c) if x > y
(d) if x ≥ y
(e) if x = y or the relationship cannot be established
Q2.
![]()
(a) if x < y
(b) if x ≤ y
(c) if x > y
(d) if x ≥ y
(e) if x = y or the relationship cannot be established
Q3.

(a) if x < y
(b) if x ≤ y
(c) if x > y
(d) if x ≥ y
(e) if x = y or the relationship cannot be established
Q4.
![]()
(a) if x < y
(b) if x ≤ y
(c) if x > y
(d) if x ≥ y
(e) if x = y or the relationship cannot be established
Q5.
![]()
(a) if x < y
(b) if x ≤ y
(c) if x > y
(d) if x ≥ y
(e) if x = y or the relationship cannot be established
Q6.
![]()
(a) if x < y
(b) if x ≤ y
(c) if x > y
(d) if x ≥ y
(e) if x = y or the relationship cannot be established
Q7.
![]()
(a) if x < y
(b) if x ≤ y
(c) if x > y
(d) if x ≥ y
(e) if x = y or the relationship cannot be established
Q8.
![]()
(a) if x < y
(b) if x ≤ y
(c) if x > y
(d) if x ≥ y
(e) if x = y or the relationship cannot be established
Q9.
![]()
(a) if x < y
(b) if x ≤ y
(c) if x > y
(d) if x ≥ y
(e) if x = y or the relationship cannot be established
Q10.

(a) if x < y
(b) if x ≤ y
(c) if x > y
(d) if x ≥ y
(e) if x = y or the relationship cannot be established
Directions (11-15): In the following questions, two equations (I) and (II) are given. You have to solve both the equations and mark the appropriate option.
Q11.
![]()
(a) x>y
(b) x<y
(c) x≥y
(d) x≤y
(e) x=y or no relation.
Q12.
![]()
(a) x>y
(b) x<y
(c) x≥y
(d) x≤y
(e) x=y or no relation.
Q13.
![]()
(a) x>y
(b) x<y
(c) x≥y
(d) x≤y
(e) x=y or no relation.
Q14.
![]()
(a) x>y
(b) x<y
(c) x≥y
(d) x≤y
(e) x=y or no relation.
Q15.
![]()
(a) x>y
(b) x<y
(c) x≥y
(d) x≤y
(e) x=y or no relation.
Solutions










World Press Freedom Day 2026, History, T...
Daily Current Affairs and GK Updates (2n...
IBPS Clerk Salary 2026, Allowances, Job ...


