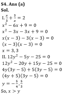
Directions (1-15): In each of these questions, two equation (I) and (II) are given. You have to solve both the equations and give answer.
(a) If x>y
(b) If x≥y
(c) If x<y
(d) If x≤y
(e) If x = y or no relation can be established between x and y


Solutions






















India-UAE Meet, Trump-Jinping Meet, Cana...
Which IBPS SO Post is Best for Freshers?
South Indian Bank Recruitment 2026 Notif...


