
Q1. There are two solutions of Sulphuric Acid (acid + water) with concentration of Acid 50% and 80% respectively. They are mixed in a certain ratio to get a 62% sulphuric acid solution. This solution is mixed with 6 litres of water to get back 50% solution. How much of the 80% concentration solution has been used in the entire process?
Q2. A salesman’s terms were changed from a flat commission of 5% on all his sales to a fixed salary of Rs. 1000 plus 2.5% commission on all sales exceeding Rs. 4000. If his remuneration as per the new scheme was Rs. 600 more than by the first, what was his sales worth?
Q3. What percentage of numbers from 1 to 70 have squares that end in the digit 1?
Q4. Jiya, Diya, and Riya are three friends. Diya takes 2 days more than Riya to complete the work. If Jiya started a work and 3 days later Diya joins her, then the work gets completed in 3 more days. Working together Jiya, Diya and Riya can complete thrice the original work in 6 days. In how many days Diya can complete twice the original work with double the efficiency working alone?
Q5. Shashank and Aniket started a business in partnership by investing Rs. 10,000 and Rs. 4000 respectively. Condition of partnership is that Aniket got Rs. 100 per month for management of the business. After paying 5% interest on the capital from the profits, remaining annual profit has been distributed in the ratio of their investment. Find the profit share of Aniket, if the annual profit is Rs. 4000.
Directions (6-10): Refer to the table given below and answer the given questions.
Table shows the 5 villages and total population and percentage of males, females and transgenders in each village in year 2000. Some data are missing, find the missing data to answer the given questions.
Q6. If the ratio of population of females and transgenders in village P in year 2000 is 3 : 7. And females in village P in year 2001 is increased by 20% from that of year 2000. Then find the total number of males and transgenders in village P in year 2001 so that overall population in year 2001 is same as in year 2000?
Q7. If number of transgenders in village R in year 2000 is 180. And ratio of males and females in village S in year 2000 is 1:2. Then find the difference of males in village R and village S?
Q8. If total population of village Q and village R together in year 2000 is 25% more than the total population of village P in year 2000. And ratio of total population of village Q and village R in year 2000 is 2 : 3. Then find the ratio of males in village Q to transgenders in village R in year 2000?
Q9. If ratio of males of village S in year 2000 to the females in village P in year 2000 is 2 : 5 and population of transgenders in village P is increased by 20% in year 2001 from year 2000. Then find the total population of transgenders in year 2001 in village P?
Q10. If ratio of total population of village R to village T in year 2000 is 5: 4. Then number of males in village T in year 2000 is approximately what percent more or less than the number of transgenders in village R in year 2000?
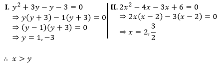
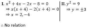
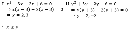
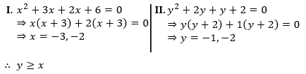
Directions (11-15): Two equations I and II are given below in each question. You have to solve these equations and give answer
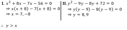
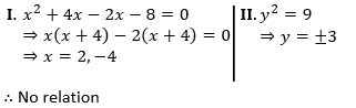
Q11.
Preparing For SBI Clerk Main 2019? Don't miss GA Power Capsule





























CIL Management Trainee Recruitment 2026 ...
Union Bank of India Apprentice Recruitme...
OICL AO Interview Dates 2026 Out, Check ...


