SBI PO Quantitative Aptitude Quiz
The questions asked in the quantitative aptitude section are calculative and very time-consuming. But once dealt with proper strategy, speed, and accuracy, this section can get you the maximum marks in the examination. Following is the Quantitative Aptitude quiz to help you practice with the best of latest pattern questions
Directions (1-5): Pie-chart given bellows shows the income of five different persons and bar graph shows the percentage distribution of their income on different things. Study the question carefully and answer them.


Q1. Who among the following spend maximum amount on food?
Q2. Amount spend by ‘E’ on furniture is what percent more than amount spend by ‘D’ on Transportation?
Q3. Find the average amount spend by A, B and C on furniture?
Q4. ‘D’ buy only three type of food X, Y and Z and amount spend on buying X, Y and Z is in the ratio 5 : 7 : 8. What is the difference between amount spend on buying Z type food to amount spend on buying X type food.
Q5. Find the ratio of amount spend by ‘A’ and ‘B’ together on food to the amount spend by ‘C’ and ‘D’ together on furniture?
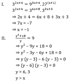
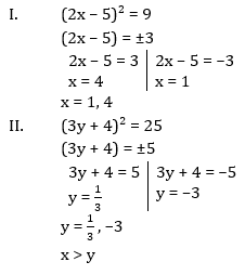
Directions (6-10): Solve the given quadratic equations and mark the correct option based on your answer—
Q11. A man buys ‘x’ kg of groundnuts, and their seeds weigh 60% of their total weight. The seed crushed for first time to yield oil, which is 30% of weight of seed. While the crushed waste material is treated once again & it yields 6% of oil by weight. If the amount of oil obtained at 2nd time is 25.2 kg. Find the value of x(in kg).
Q12. A and B started business, where A invested his 10% savings and B invested 20% of his saving for 7 months and 10 months respectively. If B get 41 ⅔% of total profit, find the total saving of A, given that 1% of B’s savings is Rs. 500.
Q13. Rahul bought a cycle at a discount of 16⅔% on MRP. He earned half the amount of his CP by renting it for 200 days. After that he resells it at half of MRP. In this transaction he earned Rs. 200, find MRP of cycle (in Rs).
Q14. In an election survey, 83 ⅓% of total voters took part in survey, 50% then claims to votes for candidate A, 10% are uncertain & rest says to vote for B. If all of them voted according to their commitments on the day of election and those who were not part of survey, voted to A and B in ratio of 2 : 1. All the people who are uncertain in survey, voted to A : B in the ratio of 1 : 4 in election. If A won by 640 votes then find total number of votes in election.
Q15. An alloy has Zn : Tn : Ab in the ratio of 3 : 2 : 8. Zn is 6% impure, Tn is 4% & Ab is 3.5% impure. Then find total impurity in 221 gm of alloy?





Daily Current Affairs Quiz 28th April 20...
RBI Grade B Notification 2026 Out For 60...
Bombay High Court Answer Key 2026 Out, D...


