We are providing you with the test of the day which will help you in upcoming exams like IBPS RRB, etc. From this, you can practice questions with the timer that will help you to improve speed.
Q1. _________ account is opened by the investor while registering with an investment broker.
Q2. Which of the following bank launches India’s first Mobile ATM?
Q3. The English translation of Perumal Murugan’s controversial ______ novel Maadhorubaagan has won the Sahitya Akademi’s Translation Prize 2016.
Q4. Name the person, who has become the first visually impaired Indian runner to complete the historic Boston Marathon.
Q5. Which country was hosted the 2017 BRICS Film Festival from June 23 to 27, 2017?
Directions (6-10): Study the following information carefully and answer the questions given below:
There are eight friends A, B, C, D, E, F, G and H are sitting around a circular table. All are facing towards the center. No two successive friends are sitting together according to alphabetical order. For Example: A does not sit with B; similarly B does not sit with C and so on.All of them also like different colour like orange, yellow, red, blue, green, white, pink and violet but not necessarily in the same order.
There is one person sits between the one who likes white colour and F, who likes violet colour. E is not immediate neighbor of G. The one who likes pink colour sits second to right of E. There is one person sits between the one who likes pink colour and green colour. Immediate neighbor of E does not like blue colour. B does not like blue colour. G sits third to right of one who likes white colour.A likes yellow colour and sits second to right of G.B is not immediate neighbor of E. Immediate neighbor of E does not like red colour.
Q6. Who among following likes red colour?
Q7. Who among following sits opposite to C?
Q8. Who among following sits second to left of D?
Q9. Four of the following five are alike in a certain way and hence they form a group. Which one of the following does not belong to that group?
Q10. Who among following likes orange colour?
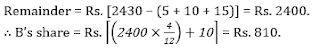
Q11. An amount of Rs. 2430 is divided among A, B and C such that if their shares be reduced by Rs. 5, Rs. 10 and Rs. 15 respectively, the remainders shall be in the ratio of 3 : 4 : 5. Then, B’s share was:
Q12. A and B can separately do a piece of work in 20 and 15 days respectively. They worked together for 6 days, after which B was replaced by C. If the work was finished in next 4 days, then the number of days in which C alone could do the work will be:
Q13. A man travels 600 km by train at 80 km/hr, 800 km by ship at 40 km/hr, 500 km by aeroplane at 400 km/hr and 100 km by car at 50 km/hr. What is the average speed for the entire distance?
Q14. Simple interest on a certain amount is 9/16 of the principal. If the numbers representing the rate of interest in percent and time in years be equal, then time, for which the principal is lent out, is:
Q15. Two cards are drawn at random from a pack of 52 cards. What is the probability that either both are black or both are queens?
Directions (16-20): Which of the phrases (A), (B), (C) and (D) given below should replace the phrase given in bold in the following sentence to make the sentence grammatically correct. If the sentence is correct as it is and no correction is required mark (E) as the answer.
Q16. The real wonder is that the Egyptians while constructing pyramids possessed only the simplest hand tools.
Q17. The government should have launch such projects which would reverse the destructive cycle of flood and drought.
Q18. To practice any art properly require extraordinarily patience— especially at the beginning.
Q19. A committee comprising imminent experts from various fields was set up.
Q20. The dinner party hoisted by the President of the club was canceled due to some unforeseen problem.
You may also like to Read:
- Learn more new words and their meaning to improve your vocabulary.
- Click here for New Pattern English Language Quiz.
- Computer Aptitude Questions for bank exams.
- Computer Study Notes for bank exams.






National Civil Services Day 2026, Theme,...
Daily Current Affairs Quiz 19th April 20...
Assam Cooperative Apex Bank Recruitment ...


