Q1. A is 50% more than B. D is 25% more than C. C is 20% more than A. E is 25% more than A. If A, B, C, D and E each is the positive integers under 100, what will be the possible sum of A, B, C, D, and E?
Q2. Find the ratio of ages of A and B after 15 years respectively . If the ratio between the present ages of A to B is 2 : 3 and after 5 years is 3 : 4.
Q3. The age of the father 5 years ago was 5 times the age of his son 5 year ago. At present the father’s age is 3 times that of his son. What is the present age of the father?
Q4. A father left a will of Rs. 68000 to be divided between his two sons aged 10 years and 12 years such that they may get equal amount when each attains the age of 18 years. If the money is reckoned at 10% per annum, find how much younger and elder son get at the time of the will respectively?
Q5. In a certain examination, the number of those who passed was 4 times the number of those who failed. If there has been 35 fewer candidates and 9 more had failed, the ratio of passed and failed candidates would have been 2 : 1, then the total number of candidates was :
Directions (6-10): The following table shows the quantity of steel exported from India to various countries during five different years. Study the table carefully to answer the question that follow:
Note: In table, some data are missing. So, find them first if it is required to use them in any question.
Q6. If quantity of steel exported to Qatar in the year 2010 is 100% more than that to Greece in the same year and average quantity of steel exported from India to all countries together in the same year be 92 quintal, then what is the quantity of steel exported to Qatar in the year 2010?
Q7. It total quantity of steel exported to UAE throughout all the five years is 750 quintal and ratio of quantity exported to UAE in 2011 and 2013 be 13 : 16 then average quantity of steel exported to UAE over all the years is what percent of quantity of steel exported to UAE in the years 2013?
Q8. What is the difference between quantity of steel exported to Qatar, Romania and Greece together in 2013 and total quantity of steel exported to Jordan over all the years together? (in quintal)
It is given that the quantity of steel exported to Jordan in 2012 is 12.5% less than that to Qatar in the same year.
Q9. If 20% steel are returned from Greece due to defectiveness out of total quantity exported in the years 2011, 2012 and 2013 together then the actual quantity of steel exported to Greece in the given years together is what percent more or less than the quantity of steel exported to Romania in the years 2011 and 2013 together?
Q10. If ratio of steel exported in the year 2014 to Qatar, Romania and Greece is 16 : 19 : 13 and quantity of steel exported to Greece be 130 quintal in the same year then find total quantity of steel exported in the year 2014 to all countries together (in quintal)
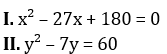
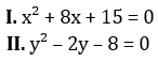
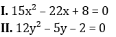
Directions (11-15): Solve the following equations and mark the correct option given below.
- Quantitative Aptitude Study Notes for Bank Exams
- 100 MCQs Data Interpretation | Download Free PDF's of DI
- Quantitative Aptitude Questions for all Competitive Exams




RBI Grade B 2026 Exam Date Out, Check Pr...
RBI Grade B Syllabus 2026, Check Complet...
JAIIB Admit Card 2026 Out, Download May ...


