SBI CLERK Quantitative Aptitude Quiz
Q1. A pipe can fill a cistern in 12 min and another pipe can fill it in 15 min but a third pipe can empty it in 6 minutes. The first two pipes are kept open for 5 minutes in the beginning and then the third pipe is also opened. Time taken to empty the cistern is:
Q2. Taps A, B and C are attached with a tank and volumetric flow of water through them are 42 litre per hours, 56 litre per hours and 48 litre per hours, respectively. A and B are inlets and C is outlet. If all the taps are opened simultaneously, tank is filled in 16 hours. What is the capacity of the tank?
Q3. 8 men can finish a piece of work in 21 days. 14 men started working and after 3 days were replaced by 9 women. These 9 women finished the remaining work in 24 days. In how many days can days can 9 women finish the whole work?
Q4. A can do as much work as B and C together can do. A and B can together can do a piece of work in 9 hours 36 minutes and C can do it in 48 hours. The time (in hours) that B needs to do the work alone, is:
Q5. Two workers A and B are engaged to do a piece of work. A working alone would take 8 hours more to complete the work that when work together. If B worked alone, would take 4 ½ hours more than when work together. The time required to finish the work together is
Directions (6-10): Read the following graph and answer the questions that follow.
Q6. What is the difference between TOI reader in Mumbai and Avg. of Tribune readers in all three Metros?
Q7. Total readers in Delhi except ET are approximately what percent of total readers in Mumbai except Chronicle and ET together?
Q8. How many readers are there in all three Metros for all newspaper?
Mumbai : 38000 + 30000 = 68000
Kolkata : 10500 + 12000 + 15000 + 2400 + 4000 + 7500 = 51400
Total users = 67500 + 68000 + 51400 = 186900
Q9. What is the ratio between one third of readers of Mumbai and three times the Hindu
Reader in all three metro together?
Q10. If total no of readers in Chennai are 30% less than in Kolkata but no of Tribune readers in Chennai are 25% more than the ET reader in Delhi, What is the total no of readers except Tribune in all four metro city now?
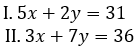
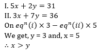
Directions (11-15): Two equations I and II are given below in each question. You have to solve these equations and give answer




RBI Grade B 2026 Exam Date Out, Check Pr...
RBI Grade B Syllabus 2026, Check Complet...
JAIIB Admit Card 2026 Out, Download May ...


