Quantitative Aptitude Quiz For SBI PO/Clerk Prelims
Directions (1-5): Study the following bar graph carefully and answer the following questions.
The bar graph shows the no. of questions come from different sections of quantitative aptitude in two shifts of SBI clerk prelims exam.
Q1. No. of questions asked in shift 1 from SI & CI is what percent of no. of questions asked from time and work in the same shift?
Q2. Find the average no. of questions asked from all the given sections in shift 2.
Q3. What is the ratio of no. of questions asked from profit & loss and percentage together in shift 1 to the questions asked from profit & loss and time & work together in shift-2?
Q4. What is the difference between total no. of questions asked in both shifts from all the given sections together?
Q5. Total no. of questions asked from DI in shift 2 are how much percent less than that in shift 1?
Directions (6-10): The following table shows the total no. of candidates who has cleared the SBI Clark prelims exam 2018 and ratio of male to female in them from five different states of India. Study the table carefully to answer the following questions.
Q6. Find the total no. of male candidates who qualified the SBI clerk prelims exam from UP and Maharashtra together.
Q7. Find the difference between total male candidates from Delhi and Bihar together to the total female candidates from same states together?
Q8. Total male candidate of Gujrat are what percent of total male candidates of Maharashtra?
Q9. What is the average no. of candidates who cleared SBI Clark Pre- exam from all states together?
Q10. Female candidates of UP are what percent more or less than that from Bihar?
Directions (11-15): Two equations I and II are given below in each question. You have to solve these equations and give answer
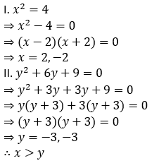
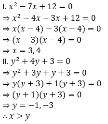
Q11.























RBI Grade B Previous Year Question Paper...
Indian Bank SO Recruitment 2026, Apply O...
RBI Grade B Notification 2026 Out For 60...


