Q6. The average age of Priya and Pooja is 18 years. When Nancy replaces Pooja, the average age is increased by 1 and when Pooja replaces Priya the average age becomes 17 years. What is the age of Nancy?
Q7. Rohit earns an interest of Rs. 1,656 for the third year and Rs. 1,440 for the second year on the same sum. Find the rate of interest if it is lent at compound interest at annually.
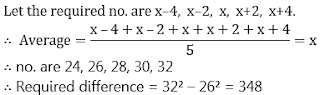
Q8. The average of five consecutive even numbers is 28. What is difference between squares of largest number and second smallest number ?
Q9. Two equal sums were lent, one at the rate of 11% p.a. for five years and the other at the rate of 8% p.a. for six years, both under simple interest. If the difference in interest accrued in the two cases is Rs 1008. Find the sum.
Q10. The ratio of the capitals lent for two years under CI annually and for four year under SI is 6 : 5 given that the rate of interest for both is same. When the interest obtained is same, then the value of the rate of interest is
Directions (11-15): The following pie chart shows the % distribution of the expenditure incurred in publishing a book.
Q11. Which of the two expenditure together have a central angle is 72°?
Q12. If for an edition of book, the cost of paper is Rs. 66850, what will be the promotion cost for this edition.
Q13. If 5000 copies are published and the transportation cost on them amounts to Rs. 96000, then what should be the selling price of the books so that publisher can earn a profit of 30% ?
Q14. For an edition of 1250 copies, Binding cost amounts to Rs. 887500, what should be the SP of the one book if publisher desires a profit of 10% ?
Q15. If printing cost is Rs. 99000 for an edition. What would be the difference between the cost of binding & promotion cost?
- Quantitative Aptitude Study Notes for Bank Exams
- 100 MCQs Data Interpretation | Download Free PDF's of DI
- Quantitative Aptitude Questions for all Competitive Exams


























RBI Grade B Syllabus 2026, Check Complet...
JAIIB Admit Card 2026 Out, Download May ...
RBI Grade B Notification 2026 Out For 60...


