SBI PO Quantitative Aptitude Quiz
Here, we are providing free crash course for SBI PO as there is left not enough time to deal in details. The questions asked in the quantitative aptitude section are calculative and very time-consuming. But once dealt with proper strategy, speed, and accuracy, this section can get you the maximum marks in the examination. Following is the Quantitative Aptitude quiz to help you practice with the best of latest pattern questions
Q1. There is a certain amount from which A takes 30% then B takes 60% of remaining amount, then C takes 80% of the remaining amount. Now if the amount left is 2,536.8 then what is the actual sum?
Q2. Two vessels A and B contain milk and water mixed in the ratio 9:8 and 3:4 respectively. The ratio in which these two mixtures be mixed to get a new mixture containing
milk is
Q3. Two pipes A and B can fill a tank in 20 hours and 25 hours respectively and a third pipe C can empty the tank in 50 hours. All of three pipes opened together and after sometimes pipe C is closed. If total time to fill the tank from beginning is 13 hours, find after how much time pipe C was closed?
Q4. A boat travels upstream from B to A and downstream from A to B in 3 hrs. If the speed of the boat in still water is 9 km/hr and the speed of the current is 3 km/hr, the distance between A and B is
Q5. A man can row 5 km/hr in still water. If the river is running at 1 km/hr, it takes him 75 min to row to a place and back. How far is the place?
Q6. Out of 3 women and 6 men a committee of three members is to be formed in such a way that at least one member is a woman. In how many different ways can it be done?
Q7. A train travelling at 72 km/hr crosses another train, having three fifth of its length and travelling in opposite direction at 45 km/hr in32/5seconds. It also passed a railway platform in 16 seconds. The length of the rail platform is
Q8. Two pipes A and B can fill a tank in 24 minutes and 32 minutes respectively. If both the pipes are opened simultaneously, after how much time should B be closed so that the tank is full in 18 minutes?
Q9. On Rs. 3500 invested at a simple interest rate of 7 per cent per annum, Rs. 500 is obtained as interest in certain years. In order to earn Rs. 800 as interest on Rs. 4900 in the same number of years, what should be the rate of simple interest ?
Q10. The ratio of first and second number is 2: 3. If 6 is subtracted from first number, the result is equal to 4/9 th of the second number. Find the first number.
Directions (11-15): Study the information given below carefully and answer the questions related to it.
In sector 40 of Cyber park, Gurugram, there are 2400 people who play three different type of sports Tennis, Volleyball and Badminton. 56% of total population play Badminton. 44% of total population play Volleyball. 240 people play both Badminton and Volleyball. 8% of total population play Tennis and Volleyball both. The total population who play Tennis is 24%. The people who play all the three types of games viz Tennis, Volleyball and Badminton are 4% of total population.
Q11. The population who play Tennis and Badminton both is approximately what percent of people who play Tennis?
Q12. What is the average number of people who play Badminton only, Volleyball only and Tennis only?
Q13. What is the total number of people who play only Tennis and Volleyball both and only Tennis and Badminton both ?
Q14. If the ratio of male to female is 13 : 9 in that population who play Volleyball then the total number of males who play Volleyball are what percent of total population of given sector?
Q15. What is the difference between people who play Badminton only and Volleyball only?
Directions (16-20): Find the approximate value of the following questions.
Q16. 8537.986 – 2416.005 – 221.998 =?
Q17. 1019.999 ÷ 60.007 =?
Q18. 111111 ÷ 1111 ÷ 11 =?
Q19. 16.001 × 30.999 × 8.999 = ?
Q20. 88.25% of 450 =? % of 530.
Q21. A and B started a business in partnership by investing Rs 10,000 and Rs 4000 respectively. Condition of partnership is that B got Rs 100 per month for management of the business. Remaining profit has to be distributed in the ratio of their investments. Find the share of their profit, if the annual profit is Rs 4000.
Q22. A cylindrical flask, whose circular part has a diameter of 35 cm is filled with water up to a height of 24 cm. A solid iron spherical ball of radius 12 cm is dropped in the flask to submerge completely in water. Find the increase in the level of water (in cm) (rounded off to two decimal places).
Q23. Marked price of two articles is Rs.2800 each. One is sold at a discount of 24% and the other for Rs. 1200 more than the marked price. If the net profit is 25%. Find the total cost price of articles.
Q24. Several litres of alcohol drawn off a 72 litre vessel full of alcohol and equal amount of water added. Again, the same volume of the mixture was drawn off and replaced by water. As a result, the vessel contained 18 litres of pure alcohol. How much the alcohol was drawn off initially?
Q25. The simple interest on a sum of money will be Rs. 450 after five years. What will be the total interest at the end of 12th year?
years = 450
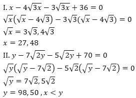
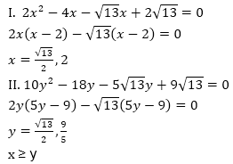
Directions (26-30): In each of these questions, two equations (I) and (II) are given. You have to solve both the equations and give answer,
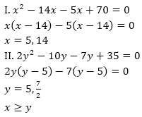
Q26.
Directions (31-35): Given below is the percentage of workers in 5 different companies and the ratio of males to females in un-educated and educated category. Study the table carefully and answer the following questions:
Note- There are only un-educated and educated workers in each company.
Q31. If no. of un-educated female workers of company D is 2000 and total no. of workers of company C is 20% less than that of D, then find the total no. of educated workers in company C?
Q32. If educated male in company D and A are in ratio 4 : 3, Then no. of workers of company D is what percent of that of A?
Q33. If there are 2.4 thousand educated males in company B and 4 thousand un-educated females in company D then find ratio of no. of workers in company B to the no. of workers in company D?
Q34. What is approximate no. of un-educated female workers of company E if total educated females in that company is 1 thousand? (in thousand)
Q35. If no. of workers in companies A and C is 6 and 8 thousand respectively, then un-educated female workers of company C is what percent less/more than educated male workers of company A? (rounded off to two decimal places)
You May also like to Read:
- Quantitative Aptitude Study Notes for Bank Exams
- 100 MCQs Data Interpretation | Download Free PDF's of DI
- Quantitative Aptitude Questions for all Competitive Exams

















SSC CGL Notification 2026 Out @ssc.gov.i...
SBI Apprentice Recruitment 2026 Out for ...
Punjab & Sind Bank Apprentice Recrui...


