IBPS RRB Quantitative Aptitude Quiz
Q1. Two letters from the word ‘TERMINATOR’ are selected at random. Find the probability that both are vowels.
Q2. Two dice are tossed simultaneously. Find the probability of coming a number greater than 3 on both dice.
Q3. What is the probability of making a committee of five people consisting of 2 boys and 3 girls out of 4 boys and 5 girls?
Q4. A basket contains 33 ⅓% rotten apples and rest are good. There are total 4 dozen apples in the basket. Find the probability of selecting a good apple.
Q5. The probability of Prabhat to hit a target is 3/4 while probability of Deepak to hit the target is 4/5. They try to hit the target together. Find the probability that target will be hit.
Q6. A bag contains 6 white and 4 black balls .2 balls are drawn at random. Find the probability that they are of same color.
Q7. Two cards are drawn at random from a pack of 52 cards. What is the probability that either both are black or both are queen?
Q8. Tickets numbered 1 to 20 are mixed up and then a ticket is drawn at random. What is the probability that the ticket drawn has a number which is a multiple of 3 or 5?
Q9. In a lottery, there are 10 prizes and 25 blanks. A lottery is drawn at random. What is the probability of getting a prize?
Q10. Three unbiased coins are tossed. What is the probability of getting at most two heads?
Q11. Two dice are tossed. The probability that the total score is a prime number is:
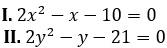
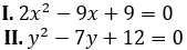
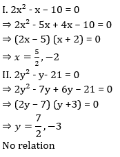
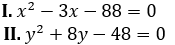
Directions (12-15): In the following questions two equations numbered (I) and (II) . You have to solve both equations and give answer
- Quantitative Aptitude Study Notes for Bank Exams
- 100 MCQs Data Interpretation | Download Free PDF's of DI
- Quantitative Aptitude Questions for all Competitive Exams













JK Bank Apprentice Recruitment 2026, Onl...
International Dance Day 2026, History, I...
Union Bank of India Apprentice Recruitme...


