Q1. There are certain number of students in a college in which the ratio of boy and girl is 11: 14. 40% boys study math only, 30% boys study Bio only and rest boys study commerce only. Half of the girls study Bio only while half of the rest girls study math only. If total no. of girls who study commerce is 350, then find the total no. of boys who study math only. (There are only three disciplines in the college)
Q2. Joya earns a monthly salary of Rs. 60,000. She spends one fifth of her annual salary on food, two fifth on house rent and electricity and rest amount deposits in bank which provide simple interest at the rate of 16(2/3) % per annum. What will be her total saving after two years? There is no other expense except given above.
Q3. There are certain oranges in a basket out of which
are rotten. 40% of good oranges are sold at a rate of Rs. 72 per dozen and rest good oranges sold at a rate of Rs. 60 per dozen. If cost of oranges is Rs. 48 per dozen then what is the profit earned/loss occurred while selling all the oranges (in percentage)?
Q4. Rohit invested two amounts in the ratio of 3: 5 in two different schemes X and Y respectively. Scheme X provides simple interest at the rate of 12% p.a. while scheme Y provides compound interest at the rate of 10% p.a. After 2 years, he got a total interest of Rs. 3540. Find the total amount invested by Rohit in both schemes together.
Q5. The population of a city, three years ago, was 7,29,000. The present population of the city is 17,28,000. What will be the population of the city three years hence? (Rate of increment of population is same for whole time period)
Q6. The manufacturer of an article makes a profit of 5%, the wholesaler makes a profit of 10%, and the retailer makes a profit of 15%. Find the manufacturing price of the article if the retailer sold it for Rs. 5313.
Q7. A is 20% less efficient than B and C is 50% more efficient than A. If B alone can complete a job in 6 days less time than A then C alone can complete the same job in how much time.
Q8. A man invests 28% of his monthly salary on lodging and fooding and 25% of remaining on children’s education and saves the remaining amount. If he spends Rs. 5400 each month on children’s education then find his yearly salary.
Q9. Two Jar contains mixture of milk and water. First jar contains 64% milk and second jar contains 26% water. In what ratio these two mixtures are mixed so that new mixture contains 68% milk.
Q10. Sakshi and Divya started a business with investment Rs. 6000 and Rs. 10000 respectively. Divya also worked as working partner for that she charged 20% of total profit and remaining profit was divided between them in the ratio of their investment. After 1year total profit from business was Rs. 1500. Find the profit share of Sakshi.
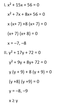
Directions (11-15): In the following questions two equations numbered (I) and (II) are given. You have to solve both equations and give answer
Q11. 




























SSC CGL Notification 2026 Out @ssc.gov.i...
Daily Current Affairs and GK Updates (21...
Simple Interest Questions for Bank Exams


