Here, we are providing free crash course for LIC AAO Mains as there is left not enough time to deal in details. The questions asked in the quantitative aptitude section are calculative and very time-consuming. But once dealt with proper strategy, speed, and accuracy, this section can get you the maximum marks in the examination. Following is the Quantitative Aptitude quiz to help you practice with the best of latest pattern questions.
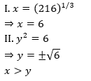
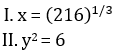
Directions (1-5): In each of these questions, two equations numbered I and II are given. You have to solve both the equation and give answer
Directions (6-10): The following questions are accompanied by two statements A and B. You have to determine which statements(s) is/are sufficient/necessary to answer the questions.
Q6. What is the value of rate of interest?
A. A sum of Rs 8000 is invested at simple interest for 3 years in scheme A which offers a certain rate of interest. Amount obtained from scheme A is equal to the amount obtained when Rs 9000 is invested in scheme B for 2 years at C.I.
B. Rate of interest for scheme B is same as rate of interest for scheme A.
Q7. 4 men & 18 women can do a piece of work in 2.5 days, then in how many days 12 woman can complete the same piece of work?
A. Ratio of efficiency of men to women is 3 : 2.
B. 6 men & 6 women can complete the same work in 4 days.
Q8. What will be speed of stream, if speed of boat in still water is 22.5 km/hr?
A. The time taken by boat to cover 120 km upstream is 4 hours more than time taken by boat to cover same distance in downstream.
B. Boat takes total 15 hours to cover 150 km in downstream and upstream.
Q9. What will be sum of two natural numbers X & Y?
A. X & Y both are multiple of 24, while X is 50% more than Y.
B. X/30 & Y/40 both are natural number.
Q10. There is (2a+ 16) students in a class with three streams, i.e. art, science & commerce. The ratio of students who take art to science is 4 : 1. Find total number of students in class.
A. Total students who take art is 8 more than total students who take commerce and probability of selecting one student who take science is 1/8.
B. Total commerce students in class are 25% less than total art students in the class.
Q11. A and B entered in a business by making investment of Rs. 4000 & Rs. 5500 respectively. After six months A & B withdrew Rs. 1000 and Rs. 1500 respectively and C joined them with capital of Rs. 4x. If after one year and three months C received Rs. 2250 as profit share out of total profit of Rs. 12250, then find investment of C?
Q12. Train A can cross a man in 8 sec and a 180 m long platform ‘P’ in 17 sec. If train A cross train B which is running in opposite direction at speed of 108 km/hr in 8 sec, then find time taken by train B to cross platform P?
Q13. ‘X’ is a bread seller who marked up price of each bread packet by 150% above and allow discounts of 40% and made a profit of Rs. 30 on each bread packet. If ‘X’ allows 37.5% discount on each packet, then find how much profit he gets on selling 80 bread packets?
Q14. A sum of money lent at compound interest for 2 years at 20% per annum would fetch Rs. 482 more, if the interest was payable half yearly than if it was payable annually. The sum is :
Q15. The respective heights and-volumes of a hemisphere and a right circular cylinder are equal then the ratio of their radii is
You May also like to Read:
- Quantitative Aptitude Study Notes for Bank Exams
- 100 MCQs Data Interpretation | Download Free PDF's of DI
- Quantitative Aptitude Questions for all Competitive Exams












NFL MT Syllabus and Exam Pattern 2026, S...
Bank of India Credit Officer Interview C...
Bank of India Credit Officer Result 2026...


