Directions (1-5): In each of these questions, two equations I and II are given. You have to solve both the equations and give answer.
(a) x>y
(b) x<y
(c) x≥y
(d) x≤y
(e) x=y or no relation can be established between x and y
Q1. I. 9y²+17y+8=0
II. x+y=4
Q2. I. 3x²+9√3 x+18=0
II. ∜4 y=√(2y²+9y+7)
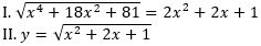
Q3.
![]()
Q4. I. 729x²-625x²=5096
II.√169 y³-10y³=2187
Q5. I. x²-y²=51
II. x+y=17
Directions (6-10): Given line graph shows the opening & closing stock of a District Oil Distributor Centre and the price of oil for 4 different days. Study the graph carefully and answer the questions.

Note:- 1 cubic meter=1000 litre
Q6. Find the amount earned on Thursday. (in lakh)
(a) 14
(b) 17
(c) 18
(d) 15
(e) 16
Q7. Volume of oil sold on Monday & Tuesday together is what percent more/less than average volume of oil sold on all days together?
(a) 66⅔%
(b) 40
(c) 33⅔%
(d) 66⅓%
(e) 33⅓%
Q8. What is total earning for all the mentioned days? (in lakhs)
(a) 3.9
(b) 0.39
(c) 38.75
(d) 0.039
(e) 39.75
Q9. If on Friday, the sale decreases by 10% as compared to that on Thursday but the price increased by 20%. Find ratio of earning on Wednesday & Friday together to that on Monday, Tuesday & Thursday together.
(a) 577:740
(b) 540:579
(c) 740:577
(d) 579:740
(e) None of these
Q10. On how many days, does the earning exceeds the average earning of the week if sale occurred on Friday is also counted. (Use sale data on Friday from previous question)
(a) 3 days
(b) 4 days
(c) 2 days
(d) 5 days
(e) 1 days
Q11. A and B together can do a piece of work in 48 days and B & C together do the same work in 36 days. If first 24 day A work alone next 36 days B work alone and remaining work complete by C in 20 days, then find in how many days A and C complete work together?
(a)27⅘days
(b)22 ⅘days
(c)25 ⅘days
(d)26 ⅘days
(e)28⅘days
Q12. A boat travelled with the direction of the current from point A to B, and return against the current and stop at point C. Distance between B and C is 75% of, distance between A and B. given speed of current is 6 km/hr and speed of boat still water is 150% of current speed and boat takes 9.5 hr to complete whole journey of A to C. then find the total distance covered by boat?
(a) 30.5 km
(b) 52.5 km
(c) 42.5 km
(d) 48.5 km
(e)None of these
Q13. There is five pink and four white balls in a bag. Three ball choose randomly, what is probability of at least one ball is pink and at most two are white ball ?
(a) 20/21
(b) 30/31
(c) 41/40
(d) 40/41
(e)None of these
Q14. A train can travel 100% faster than a car. Both start from point A at the same time and reach point B 150 km away from A at the same time on the way however train lost about 30 minutes while stopping at a station. Find the speed of car ?
(a) 115 km/hr
(b) 120 km/hr
(c) 125 km/hr
(d) 75 km/hr
(e) 150 km/hr

Solutions















JAIIB RBWM Exam Analysis 2026, 17 May Al...
JAIIB RBWM Memory Based Questions, Downl...
How Toppers Start Preparing for IBPS SO?


