Directions (1-5): Study the following information carefully to answer the following questions.
Mr. Rajveer has a bill of certain amount at present. He has four children out of them two are girls. His present bill is 66 ⅔% more than that when his first child was born. The youngest child is a boy. One of the girls is 2 years elder than the age of elder son. The sum of ages of two girls is 56 yrs. The age of youngest child is 18 years and average age of all the four children is 26 years.
He decided to distribute his bill among his wife and children. His wife got 16 ⅔% of total bill and rest will goes to his children in the ratio of 1 : 2 : 3 : 4 (from eldest to youngest). Daughters invest their sum in banks which provides simple interest at the rate of 12 ½% per annum while boys do not invest their sum anywhere. Wife bought a plot from her part and sold it at a profit of 25%. Sum of eldest child is Rs. 1.6 lacs.
Q1. Amount obtained by younger daughter from bank when she becomes 29 yrs. old is what percent of total bill of Mr. Rajveer during his first child was born?
Q2. If elder son invested his sum in mutual funds at a certain rate percent per annum and youngest child invested his sum in a scheme X at a different rate percent per annum, both gets equal simple interests from these two schemes when elder son becomes 34 years old, then ratio of rates of these two schemes is
Q3. What is the total sum of amounts obtained by wife and eldest child ? (in lac Rs.)
Q4. Amount obtained by youngest child is what percent of total amount obtained by wife in the transaction of plot.
Q5. How many years before Mr. Rajveer got married. (It is given that Mr. Rajveer’s wife’s present age is 52 years) ?
Q6. If 10 men and 15 women complete a piece of work in 8 days while 12 men and 8 women can complete the same piece of work in 10 days. If A boy who is 50% less efficient than the man, can do the same work in 400 days.
Quantity I : Time taken by 2 men, 4 women and 18 boys to complete the work.
Quantity II : Time taken by 9 men, 3 women and 6 boys to complete the same work.
Q7. Quantity 1: Time taken by C to complete the work alone. A and B together can do a piece of work in 16 days and B and C can do the same work in 24 days. From starting A and B worked for 4 days and 7 days respectively and remaining work is completed by C in 23 days.
Quantity 2: Final quantity of milk left in the jar. The jar has 60 litres of milk. From the jar, 12 litres of milk was taken out and replaced by an equal amount of water. Again, 12 litres of the newly formed mixture is taken out of the jar.
Q8. Quantity I — Time taken by A to complete a work alone if A can complete a work in 5 more days than B while A does the same work in 9 more days than C. If A and B can complete the whole work in same time as time taken by C alone to do the whole work.
Quantity II — Time taken by 8 men and 14 women to reap 7/12 part of 360 hectares land by working 7 hrs per day if 6 men and 10 women can reap 5/12 part of the land in 15 days by working 6 hrs per day. It is also given that work of 2 men is equal to that of 3 women.
Q9. A salesman sold a grinder at 10% discount at marked price. He found that he earns a profit of 50/3% but instead of calculating profit on cost price he calculates it on the sum of cost price and selling price. If cost price of grinder is 1350 then find out the mark price.
Q10. Interest earned on an amount at 11% rate in simple interest for 4 years equal to the interest earn when same amount invested at some rate of interest in a scheme at C.I. for 2 years. If compound Interest earned from scheme for 3 years is 10920, then find out the initial amount invested.
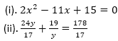
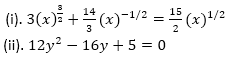
Directions (11-15): In each question two equations numbered (I) and (II) are given. Student should solve both the equations and mark appropriate answer.
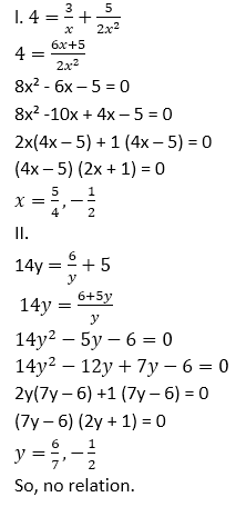
Q11. 

























RBI Grade B 2026 Exam Date Out, Check Pr...
RBI Grade B Syllabus 2026, Check Complet...
JAIIB Admit Card 2026 Out, Download May ...


