Directions (1-5): Refer to the table given below and answer the questions.
Table shows the total number of votes, percentage of valid votes and ratio of valid votes of males and valid votes of females in different village.

Q1. If the average number of valid votes in village A, B and D is 750. Then what is the difference of valid votes of male and female in village A?
Q2. If the ratio of valid votes of village C and D together is 3 : 2 respectively. Then valid votes of females in village C is approximately what percent more than valid votes of male in village D? [Given that valid votes of females in village D is 50% more than that of male in village D]
Q3. If the difference of valid votes of male and female of village E is 250 and total number of valid votes in village C is 20% more than total valid votes in village E. Then find the total invalid votes in village C?
Q4. If the average of valid votes of male in village A and Village D together is 280 and the average of invalid votes of Village A and D together is 520. Then find the percentage of valid votes of female in village A with respect to valid votes of female in village D?(Total votes in village A is 500)
Q5. If the valid votes of males is 40% less than valid votes of females in both villages B and D, then find the difference of total male valid votes in village B and D together and total female valid votes in same villages together?
Directions (6-10): What will come in the place of the question mark (?) in the following number series?
Q6. 120, 178, 238, 304, 382, ?
Q7. 42, 60, 94, 160, 274, ?
Q8. 8, 4, 6, 14, 44, ?
Q9. 50, 55, 63, 80, 104, ?
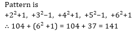
Q10. 360, 580, 804, 1032, 1264, ?
Directions (11-15): The following questions are accompanied by three statements (I), (II), and (III). You have to determine which statement(s) is/are sufficient /necessary to answer the questions
Q11. What is distance between A and B ?
I. Two persons Amit and Abhi started simultaneously from A to B with their speed in ratio 4 : 5.
II. Abhi reached reached B one hour earlier than Amit.
III. Difference between speed of Amit and Abhi is 20 km/hr.
Q12. What is the area of rectangle ?
I. If ratio of length and breadth of the rectangle is 3 : 2.
II. Circumference of a circle is 440 m and breadth of rectangle is 1/7 th of diameter of circle.
III. If length is 50% more than breadth.
Q13. How many students failed in class 11th ?
I. 400 Students passed in class 11th.
II. No. of students failed in class 11th is 20% of those failed in class 12th.
III. Ratio of student appeared to that of failed in class 11th is 5 : 3.
Q14. What is the rate of interest on some amount?
I. S.I. accrued in two years on same amount at same rate of interest is Rs. 44000.
II. The amount after some years on S.I. is Rs. 154000.
III. Difference between the C.I. and S.I. earned in two years on the same amount invested is Rs. 120.
Q15. What is the sum of two number?
I. The bigger no. is 6 more than the smaller no.
II. 40% of smaller no. is equal to 30% of bigger no.
III. The ratio b/w half of the bigger no. & one-third of smaller no. is 2 : 1.
- Quantitative Aptitude Study Notes for Bank Exams
- 100 MCQs Data Interpretation | Download Free PDF's of DI
- Quantitative Aptitude Questions for all Competitive Exams


























Daily Current Affairs Quiz 13th May 2026...
CIL Management Trainee Recruitment 2026 ...
Union Bank of India Apprentice Recruitme...


